The Acer Chromebook Spin 714 (2022) is a 2-in-1 convertible Chromebook. It replaces the Acer Chromebook Spin 713 from 2021. The Spin 714 has several changes over its predecessor. It has a 16:10 display instead of 3:2, and its webcam gets upgraded from 720p to 1080p. It's available with a FHD (1920 x 1200) or QHD (2560 x 1600) IPS screen and various Intel 12th Gen. CPUs, ranging from a Core i3-1215U to a Core i7-1260P. It supports pen input and comes with a USI (Universal Stylus Initiative) stylus that you can dock into its slot for transport or charging.
Our Verdict
The Acer Chromebook Spin 714 is great for school. It has a sturdy build, a thin and light design, and all-day battery life. The display looks sharp and gets bright enough for use in most indoor settings. The keyboard feels spacious and tactile but can be a little tiring to type on for a long time, and the touchpad is responsive but finicky with some gestures. Its Intel 12th Gen. CPU performs well and provides a smooth experience on Chrome OS; however, its integrated graphics can't handle anything demanding, and you can only use web apps and Android apps from the Google Play Store, so it isn't ideal for students in fields like 3D graphics that need specialized software.
- Easy to carry around.
- Sharp 16:10 display.
- All-day battery life.
- Fast CPU provides a smooth desktop experience on Chrome OS.
- USB-C with Thunderbolt 4 support.
- Outstanding 1080p webcam.
- Keyboard feels slightly tiring to type on for extended periods.
- Dragging and dropping on touchpad doesn't always work properly.
- Can't install Windows applications.
The Acer Chromebook Spin 714 is bad for gaming. Its integrated graphics can't handle graphically demanding games, and it's only available with 60Hz displays, which have a slow response time. Additionally, you can't install DirectX games on Chrome OS, so you can only play Android-based games from the Google Play Store. On the upside, its CPU and GPU have no problems running games from the Play Store.
- CPU and GPU can handle most games from Google Play Store.
- Doesn't get hot or loud under load.
- Keyboard feels slightly tiring to type on for extended periods.
- Can only run Android-based games from Google Play Store.
- Integrated GPU can't handle demanding workloads.
- 60Hz display with slow response time and no VRR.
- Memory isn't user-upgradeable.
The Acer Chromebook Spin 714 is great for media consumption. It's very portable, and its battery lasts nearly 13 hours of video playback, enough time to get through multiple movies. Its FHD display looks sharp, and since it's a 2-in-1, you can set up the laptop in tent mode when viewing content and navigate using touch input. The only downside with the display is that it isn't very accurate as there's a slight green tint. The speakers get very loud but sound slightly boxy, with no bass at all.
- Easy to carry around.
- All-day battery life.
- Sharp display with full sRGB coverage.
- Speakers get very loud.
- Blacks look gray in dim settings.
- Poor display accuracy due to green tint.
- Speakers sound boxy, with no bass.
The Acer Chromebook Spin 714 isn't suitable for use as a mobile workstation. It runs Chrome OS, so you're limited to web-based apps and Android apps from the Google Play Store. Also, its Intel 12th Gen. CPU and integrated graphics aren't powerful enough to handle demanding tasks, and you can only get up to 16GB of memory and 512GB of storage. On the bright side, it has Thunderbolt 4 ports, allowing you to transfer files quickly and connect multiple displays, and it doesn't get hot or loud under load.
- Fast CPU provides a smooth desktop experience on Chrome OS.
- USB-C with Thunderbolt 4 support.
- Doesn't get hot or loud under load.
- Keyboard feels slightly tiring to type on for extended periods.
- Integrated GPU can't handle demanding workloads.
- Can't install Windows applications.
- Memory isn't user-upgradeable.
The Acer Chromebook Spin 714 is good for business use. It's a well-built laptop that's easy to carry around, and its battery easily lasts through a typical 8-hour day with plenty to spare. The display looks sharp and provides enough space for multitasking, and above it sits an outstanding 1080p webcam for your video calls. The keyboard feels spacious and tactile, albeit slightly tiring over time. Its Intel 12th Gen. CPU has no problem handling general productivity tasks; however, keep in mind that Chrome OS doesn't support Windows applications, so it might not be suitable if your work requires specialized programs that only runs on Windows or other things you can't access through a Chrome browser or Android app.
- Easy to carry around.
- Sharp 16:10 display.
- All-day battery life.
- Fast CPU provides a smooth desktop experience on Chrome OS.
- USB-C with Thunderbolt 4 support.
- Outstanding 1080p webcam.
- Keyboard feels slightly tiring to type on for extended periods.
- Dragging and dropping on touchpad doesn't always work properly.
- Can't install Windows applications.
Changelog
- Updated Dec 07, 2023: Converted to Test Bench 0.8.2.
- Updated Nov 03, 2023: Converted to Test Bench 0.8.1.
- Updated Jul 20, 2023: Added mention of the ASUS Chromebook Vibe CX34 Flip (2023) as an alternative with a brighter display in the Brightness section.
- Updated Jun 28, 2023: Added mention of the Acer Chromebook 516 GE as an alternative with a higher refresh rate in the Refresh Rate section.
Check Price
Differences Between Sizes And Variants
We tested the Acer Chromebook Spin 714 (model CP714-1WN-53M9) with a FHD display, an Intel Core i5-1235U CPU, 8GB of memory, and 256GB of storage. The CPU, memory, and storage are configurable; you can see the options in the table below.
| Screen |
|
|---|---|
| CPU |
|
| GPU |
|
| Memory |
|
| Storage |
|
| Color |
|
Our display and performance results are only valid for the configuration we tested. If you come across a different configuration option not listed above, or you have a similar Acer Chromebook Spin 714 laptop that doesn't correspond to our review, let us know, and we'll update it. Some tests, like black uniformity and color accuracy, may vary between individual units.
You can see our unit's label here.
Popular Laptop Comparisons
The Acer Chromebook Spin 714 is among the best Chromebooks on the market. It stands out for its sturdy build, display quality, and excellent CPU performance.
For more options, check out our recommendations for the best laptops, the best Chromebooks, and the best laptops for college.
The Acer Chromebook Spin 714 (2022) is a newer version of the Acer Chromebook Spin 713 (2020). They're very similar overall. The Spin 714 has a few upgrades over its predecessor, like faster Intel 12th Gen. CPUs, a significantly better webcam, and Thunderbolt 4 support. However, the Spin 713 has a brighter display and a larger touchpad. Battery life is better on the Spin 714, although both last easily through a typical work or school day.
The Acer Chromebook Spin 714 (2022) is better than the Lenovo Chromebook C340 15 (2020) for most uses. The Acer is more portable, and its battery lasts longer. It has a better port selection, which includes a full-size HDMI and two USB-C/Thunderbolt 4 ports, and it's available with significantly faster Intel 12th Gen. CPUs. However, the Lenovo's keyboard provides a better typing experience, and the touchpad is larger and more responsive. The Acer's screen looks sharper, but the Lenovo's is larger.
The Acer Chromebook Spin 714 (2022) is marginally better than the Google Pixelbook Go (2019). The Spin 714 is a newer device, so it's available with faster Intel 12th Gen. CPUs, whereas the Pixelbook Go uses much older Intel 8th Gen. processors. There's also a difference in the form factor; the Spin 714 is a 2-in-1 convertible, meaning you can use it as a tablet, whereas the Pixelbook Go is a clamshell laptop that doesn't support touch input. The Spin 714 has a wider port selection, as it includes a USB-A and HDMI port, and its USB-Cs support Thunderbolt 4. On the other hand, the Pixelbook Go has a much larger and more responsive touchpad, and it's more portable because it's smaller and lighter.
The Acer Chromebook Spin 714 (2022) is much better than the HP Chromebook x360 14 (2021). The Acer is available with nicer, brighter displays, as well as significantly faster Intel 12th Gen. CPUs. It also has longer battery life, a faster storage drive, a much better webcam, and a wider port selection, including two USB-C/Thunderbolt 4 ports and an HDMI.
Test Results

The Acer Chromebook Spin 714 has a simple, professional-looking design. It's very similar to its predecessor, the Acer Chromebook Spin 713 (2020), but with thinner bezels. It looks a little wider because it now has a 16:10 aspect ratio instead of 3:2. The speakers fire downwards from the bottom front of the device; the grills above the keyboard are air vents. There are also air vents on the bottom and back of the laptop. There's an 'Antimicrobial Corning Gorilla Glass' branding at the top left of the display, which is slightly distracting, and unfortunately, it isn't removable. This laptop is available in two color schemes: Steel Gray and Slate Blue.
The Acer Chromebook Spin 714 feels well-built. The construction is a mix of metal and plastic (metal on top, plastic on the bottom). It feels very sturdy; there's a little bit of flex in the display but none on the keyboard deck. The whole device feels hefty, with evenly distributed weight. The finish doesn't scratch or pick up fingerprints easily, and the feet are solid and adhere firmly to the bottom.
The hinges are superb. They feel very smooth when opening and closing the lid, and they're stable, with almost no play at all. There's a lot of resistance, but you can still open the laptop with one hand. There's little to no screen wobble when typing aggressively.
The Acer Chromebook Spin 714's serviceability is sub-par, as only the SSD and battery are user-replaceable. It's easy to access the internals, though. You only need to remove nine Philips screws and pry open the bottom panel with a pick or prying tool. The only thing to look out for is the stylus, as there's nothing holding it in place aside from the bottom panel, so it can slide out easily.
The Acer Chromebook Spin 714 is available with the following displays:
- 14" IPS 1920 x 1200 60Hz
- 14" IPS 2560 x 1600 60Hz
The FHD (1920 x 1200) display looks sharp and provides enough space for multitasking. The most notable change from its predecessor, the Acer Chromebook Spin 713 from 2021, is that it now has a 16:10 aspect ratio rather than 3:2. It isn't as tall as 3:2; however, you still get a little more vertical space than a standard 16:9 display, so you can see more information when reading a document or website and won't have to scroll as much. If you want a sharper image, you can go with the QHD (2560 x 1600) display; just remember that the increased resolution will drain the battery faster. The QHD display has a pixel density of 216 PPI.
This laptop is only available with 60Hz displays. The FHD panel has a slow response time causing noticeable ghosting, so it isn't ideal for viewing fast-moving content or gaming. The QHD panel will likely perform similarly. If you want a Chromebook with a higher refresh rate and faster response time, check out the Acer Chromebook 516 GE (2022).
The Acer Chromebook Spin 714 display gets decently bright. It's bright enough for use in most indoor settings but not in sunny environments or outdoors in broad daylight. It gets very dim at the lowest brightness setting, which is great for dark room viewing as it's easier on the eyes and causes less eye strain. There isn't an advertised brightness for the QHD display, so it's likely the same as the FHD panel. If you want a Chromebook with a brighter display, check out the ASUS Chromebook Vibe CX34 Flip (2023).
The reflection handling is decent. Its glossy finish mainly struggles with direct, mirror-like reflections. It's best to avoid having bright light sources, like a lamp or window during the day, directly behind you, as the reflections are distracting and visible even with the screen at maximum brightness.
The Acer Chromebook Spin 714 has an okay vertical viewing angle. The image starts getting dimmer and more washed out fairly early as you move to the side. It's still good enough for sharing text documents and casual content, but it's best to be directly in front if you need perfect accuracy.
The vertical viewing angle is okay. Like the horizontal viewing angle, the image looks dimmer and more washed out from above and below. If accuracy is important to you, this limits the range at which you can tilt the screen, which might be a problem in tight spaces, like on an airplane or bus.
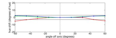
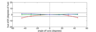
The Acer Chromebook Spin 714 has poor display accuracy out of the box. Most colors are inaccurate, and the white balance is visibly off, especially at higher brightness levels. There's a noticeable green tint, likely caused by the display's 'Antimicrobial Corning Gorilla Glass'. The color temperature is only slightly warmer than the standard 6500K target, not enough to make a huge difference. The gamma doesn't quite follow the sRGB curve; most scenes are a little too bright, while dark scenes are too dark.
The FHD display has a great color gamut. It has near full sRGB coverage, the color space used in most content. It's only missing the deep, saturated blues. Its coverage of wider color spaces like Adobe RGB and DCI P3 is great but not enough for professional photo editing or for viewing and producing HDR content. The QHD display will likely perform similarly.
The Acer Chromebook Spin 714 has a great keyboard. The layout feels spacious and is easy to get used to. The keys have a lot of travel, don't require much force to actuate, and provide satisfying tactile feedback. However, they're not the most stable keys, and the quality of the keycaps could be better. Overall, the keyboard feels good to type on but can be slightly tiring after an extended period. Typing noise is low and isn't bothersome in quiet settings. You can adjust between four backlight brightness levels or turn it off completely.
The touchpad is okay. Although it's on the smaller side, it feels smooth, allowing the fingers to glide freely. The tracking is decent; it registers movements and gestures well; however, it's hard to drag and drop items over a long distance, and manipulating images, like zooming in and out, can feel a little janky. Tracking around the edges isn't a problem, and palm rejection works well. You can only click in the bottom half of the touchpad, and the click mechanism feels relatively satisfying.
This laptop has excellent speakers. They get very loud, with minimal dynamic compression at max volume. Vocals and speech come across clearly; however, musical instruments sound a little unnatural, and there's no bass whatsoever. The overall sound is also slightly boxy.
The webcam is outstanding. The image is clear and well-exposed, and the colors look natural, albeit slightly on the warmer side. There's a little bit of noise here and there, but it's very minor. Voices sound loud and clear over the microphone, with no background noise.
The port selection is decent. The USB-A port supports USB 3.2 Gen. 1 data transfer speed (up to 5Gbps). Both USB-Cs support Thunderbolt 4 (up to 40Gbps data transfer speed and video output two 4k 60Hz displays) and Power Delivery. Power Delivery lets you fast-charge mobile devices, up to a maximum of 15W.
The wireless adapter is an Intel Wi-Fi 6E AX211.
The Acer Chromebook Spin 714 is available with the following CPUs:
- Intel Core i3-1215U (6 cores/8 threads, up to 4.4GHz, 10MB cache)
- Intel Core i5-1235U (10 cores/12 threads, up to 4.4GHz, 12MB cache)
- Intel Core i7-1265U (10 cores/12 threads, up to 4.8GHz, 12MB cache)
- Intel Core i7-1260P (12 core/16 threads, up to 4.7GHz, 18MB cache)
All of the available CPUs are processors typically found in thin and light laptops, and they're all hybrid CPUs with a mix of performance and efficiency cores. The main differences between the U-series and the P-series CPUs are the number of performance cores and power draw. The U-series processors have two performance cores and run between 10W and 15W, while the Core i7-1260P has four performance cores and runs at 28W. All four CPUs can provide a smooth desktop experience on Chrome OS, even the Core i3. If you're a heavy multitasker, it's best to go with the Core i5-1235U or i7-1265U, as the increased core count will give you more headroom than the i3-1215U. The Core i7-1260P is significantly faster than the rest; however, the increased performance isn't really necessary because Chrome OS is a lightweight operating system that runs well on low-end hardware, and most tasks are done through the Chrome browser. That said, it might still be a good option if you plan on keeping the device for a long time.
The Acer Chromebook Spin 714 is only available with integrated graphics. The Core i3 has Intel UHD Graphics, while the Core i5 and i7s have Intel Iris Xe. These GPUs are designed for light tasks only; they can handle most games from the Google Play Store, but you may experience some stutters in very graphically-intensive titles, especially with the Core i3's UHD Graphics. The Intel Iris Xe is faster and will provide a much smoother experience.
You can configure this laptop with 8GB or 16GB of memory.
You can configure the laptop with 256GB or 512GB of storage. The 256GB drive is a PCIe Gen. 3 x4 SSD, while the 512GB is a faster PCIe Gen. 4 x4 SSD.
The Acer Chromebook Spin 714 has an excellent overall score in Geekbench 5. The Intel Core i5-1235U can handle nearly everything that you can do on Chrome OS. The Core i3 will be slower, especially in multi-thread performance, while the Core i7s will be faster. As for the GPU, although the compute test doesn't work on Chrome OS, we know that it performs poorly and isn't suitable for any demanding computing tasks.
Cinebench R23 doesn't support Chrome OS.
The Acer Chromebook Spin 714 performs poorly in Blender. The intel Core i5-1235U takes a long time to render the simple bmw27 scene, which isn't ideal for professionals with more complex material and strict deadlines. Blender doesn't support the integrated GPU, although it'll likely take even longer. The Intel Core i7-1260P will perform significantly better; however, it still won't beat laptops with a dedicated GPU, especially those supporting NVIDIA Optix hardware acceleration, like the MSI WS76 (2021).
The Acer Chromebook Spin 714 performs poorly in the Basemark GPU benchmark. None of the configurations are suitable for demanding AAA games; however, they can handle Android-based games from the Google Play Store. The Core i3 will be slower, so you might experience some stutters in graphically intensive titles.
The 256GB PCIe Gen. 3 x4 SSD performs poorly. Its sequential read speed is decent, meaning it can launch locally-installed applications quickly, but everything else is slow, so it'll take a long time to retrieve random data or write data to the drive. That said, the system still feels very snappy and responsive because most tasks are done through the Chrome browser. If you need better performance, the 512GB drive is a faster PCIe Gen. 4 x4 SSD, and you can also put in a custom one since it's user-replaceable.
The Acer Chromebook Spin 714's battery life is outstanding. You can easily get through a full day of light use with plenty to spare. It also lasts very long for video playback, enough time to get through multiple full-length movies. The gaming battery life is excellent, though not quite as good as other Chromebooks because the Intel U-series CPUs draw more power than the Celeron, Pentium, and ARM-based processors found in most Chromebooks. Models with an Intel Core i7-1260P and/or QHD display will have shorter battery life.
Borderlands 3 doesn't run on Chrome OS.
Civilization VI doesn't run on Chrome OS.
CS:GO doesn't run on Chrome OS.
Shadow of the Tomb Raider doesn't run on Chrome OS.
The Acer Chromebook Spin 714 has great thermal and noise handling. The keyboard is cool when idle, and the fans are completely silent. The keyboard only gets mild warm under load, and while the fan is audible, it's very quiet and not at all bothersome.
We can't test the performance over time because UNIGINE Heaven and Cinebench R23 aren't compatible with Chrome OS. Like most thin and light laptops, there's likely some CPU and GPU throttling. The performance loss isn't noticeable if you only perform light tasks like web browsing and video playback; it's only noticeable when you push the system to near maximum capacity, like when gaming.
The Acer Chromebook Spin 714 runs on the 64-bit version of Chrome OS. There aren't any pre-installed applications other than those that typically come with Chrome OS.
Every Chromebook has an 'expiration date' at which it stops receiving software updates, and according to Google's official document, the Spin 714's end-of-life is June 2030. Google may extend this date as they have in the past for other Chromebooks; it's best to check their official document for any changes.
This laptop supports pen input and comes with a stylus. You can store the pen in its charging slot at the front right side of the device.
































