The Dell Alienware m16 R1 (2023) is a mid-range 16-inch gaming laptop. Like the Dell Alienware m18 (2023), the 16-inch model is a new addition to Dell's lineup. It's available with high-performance AMD Ryzen CPUs and various NVIDIA 40-series GPUs, up to an AMD Ryzen 9 7945HX and an NVIDIA GeForce RTX 4090 Laptop GPU, respectively. There's also an AMD Radeon RX 7600M XT GPU entry-level option. Display options include a 165Hz QHD+, a 240Hz QHD+, and a 480Hz FHD+ display. All three support variable refresh rate to reduce screen tearing. There are also multiple keyboard options, including two scissor-switch keyboards (single-zone backlighting or per-key) and a mechanical keyboard with ultra-low-profile (clicky) CherryMX switches. It has Wi-Fi 6E, a 1080p webcam, and an 86Wh battery.
This laptop is also available with Intel 13th Gen CPUs. Most of our results (build, display, keyboard, touchpad, speakers, webcam) apply to the Intel version except for the performance benchmarks, thermals, and battery life. The Intel models have Thunderbolt 4 and G-SYNC support and are only available with NVIDIA GPUs.
You can see our unit's specifications and the available configuration options in the Differences Between Variants section.
Our Verdict
The Dell Alienware m16 laptop is mediocre for school use. It has plenty of processing power to handle even the most demanding tasks, making it suitable for programming and 3D graphics students. It also provides a good user experience with its large display and tactile keyboard. Unfortunately, it's bulky and heavy, and its battery lasts less than three hours of light use, so you'll have to bring its bulky charger, too. Additionally, the fans get pretty loud under load, which isn't ideal for quiet classrooms and libraries.
- CPU and GPU can handle demanding workloads.
- Large screen for multitasking.
- Spacious and tactile keyboard.
- Wide port selection.
- Bulky and heavy.
- Short battery life.
- Small touchpad.
- Glare can be an issue due to screen brightness.
The Dell Alienware m16 R1 is an excellent gaming laptop. It delivers a great gaming experience with high, consistent frame rates, thanks to its fast AMD Ryzen CPUs and NVIDIA RTX 40-series/AMD Radeon GPUs. There are multiple display options, including a 480Hz FHD+ and two QHD+ (165Hz or 240Hz) IPS panels; all three have a fast response time to deliver a clear image and variable refresh rate support to reduce screen tearing. It has Wi-Fi 6E wireless connectivity and an Ethernet port to ensure a fast, reliable internet connection when gaming online. RAM and storage are user-upgradeable, so you can add more later. Thermal throttling is minimal; however, the fans get pretty loud.
- CPU and GPU can handle demanding workloads.
- High-refresh display options with fast response time and VRR support.
- Minimal thermal throttling.
- User-replaceable memory and storage drive.
- Loud fan noise.
The Dell Alienware m16 laptop is okay for media consumption. You can get this laptop with an FHD+ or QHD+ display; both look colorful and get bright enough for use in most indoor settings. The speakers get pretty loud with minimal compression artifacts, producing a full sound with a decent amount of bass. Unfortunately, it's bulky and heavy, and its battery lasts less than three hours of video playback. Also, all three display options are IPS panels with a low contrast ratio, so you can expect blacks to look more like gray in dim settings.
- Loud speakers.
- Sharp QHD+ display options.
- Speakers sound full with a decent amount of bass.
- Flicker-free displays.
- Bulky and heavy.
- Short battery life.
- Displays look inaccurate out of the box.
- Blacks look gray in dim settings.
The Dell Alienware m16 is outstanding for use as a workstation. It's available with high-performance CPUs and GPUs that can easily handle demanding tasks like video editing and 3D graphics. You get plenty of screen real estate for multitasking, and some display options have full DCI P3 coverage, making them suitable for content creation. The SSD is fast, and like the RAM, it's user-replaceable. Its outstanding port selection includes an HDMI 2.1, Ethernet, and plenty of USB ports, so you likely won't need a dock. However, the USB-C ports lack Thunderbolt 4 and USB4 support. Thermal throttling is minimal, but the fans get pretty loud.
- CPU and GPU can handle demanding workloads.
- 100% DCI P3 displays suitable for color-critical work.
- Minimal thermal throttling.
- User-replaceable memory and storage drive.
- Wide port selection.
- Displays look inaccurate out of the box.
- Loud fan noise.
The Dell Alienware m16 laptop is good for business use. It feels very well-built, and it provides a great user experience with its large display and tactile keyboard. Its AMD Ryzen CPU and discrete GPU can easily handle productivity tasks like web browsing, text formatting, and spreadsheets. You can even edit videos for your business. It has a wide port selection for peripherals and external displays and a facial recognition IR camera for quick logins. Unfortunately, it's hard to carry because it's bulky and heavy, and its battery lasts less than three hours of light use.
- Large screen for multitasking.
- Spacious and tactile keyboard.
- Wide port selection.
- Good 1080p webcam.
- Bulky and heavy.
- Short battery life.
- Small touchpad.
- Glare can be an issue due to screen brightness.
Changelog
- Updated Apr 18, 2024: Added mention of the Dell Alienware m16 R2 (2024) as a more compact alternative in the Portability section.
- Updated Mar 25, 2024: Added mention of the Dell Alienware m18 R2 (2024) as an alternative with a larger screen in the Screen Specs section.
- Updated Dec 07, 2023: Converted to Test Bench 0.8.2.
- Updated Nov 24, 2023: Review published.
Differences Between Sizes And Variants
We tested the Dell Alienware m16 R1 AMD with a 240Hz QHD+ display, an AMD Ryzen 9 7845HX CPU, an AMD Radeon RX 7600M XT GPU, 32GB of memory, 1TB of storage, and a scissor-switch Alienware M-Series keyboard with per-key RGB backlighting. These components are configurable; the available options are in the table below. This laptop is also available with Intel 13th Gen CPUs. Most of our results (build, display, keyboard, touchpad, speakers, webcam) apply to the Intel version except for the performance benchmarks, thermals, and battery life. The Intel models have Thunderbolt 4 and G-SYNC support and are only available with NVIDIA GPUs.
| Screen |
|
| CPU |
|
| GPU |
|
| Memory |
|
| Storage |
|
| Keyboard |
|
| Color |
|
You can see our unit's label here.
Popular Laptop Comparisons
The Dell Alienware m16 is an excellent mid-range gaming laptop. It has more configuration options than most laptops in its class, so it's easier to pick a model that suits your needs and budget. It's also one of the few laptops on the market that offers a mechanical keyboard option. However, it isn't very portable due to its bulky design, and its battery life is among the worst.
For more options, check out our recommendations for the best gaming laptops, the best budget and cheap gaming laptops, and the best Windows laptops.
The Dell Alienware m16 R1 (2023) and the Lenovo Legion Pro 5 Gen 8 16 (2023) are both excellent mid-range gaming laptops. The Alienware m16 is marginally better; it has a sturdier build and is available with more powerful discrete GPUs, including the NVIDIA GeForce RTX 4080 and 4090 Laptop GPUs. It also offers more display and keyboard configuration options, like an FHD+ 480Hz IPS panel and an ultra low-profile CherryMX mechanical keyboard. The Legion Pro 5 lasts a little longer on battery, though neither laptop has great battery life.
Although the Dell Alienware m16 R1 (2023) and the ASUS ROG Zephyrus G14 (2022) are both mid-range gaming laptops, they don't quite target the same type of users. The m16 is a newer device available with more powerful CPUs and GPUs, so it's a better option if you want the most processing power. However, the G14 is much more portable since it's a smaller, more compact device, and its battery lasts significantly longer. The m16 comes out on top regarding build quality and serviceability, and it has a wider port selection to connect peripherals and external displays.
The Dell Alienware m16 R1 (2023) and the Dell Alienware m18 (2023) are similar overall. The m18 has more USB ports to connect peripherals, and its display gets brighter to combat glare. It also has a bigger and more responsive touchpad. On the other hand, the m16 is a more compact device, making it easier to carry around.
The Dell Alienware m16 R1 (2023) is better than the ASUS TUF Gaming A16 (2023) for gaming and other highly demanding workloads because it's available with faster CPUs and GPUs. It also has a sturdier build, a wider port selection, and Wi-Fi 6E wireless connectivity. The Dell offers more display configurations, and even its keyboard is configurable, as you can choose between a scissor switch or low-profile (clicky) mechanical keyboard. That said, if you plan on using the laptop for school or work, the ASUS might be a better option, as its battery lasts significantly longer in lighter workloads, and its QHD+ display gets brighter to combat glare. It's also more portable than the Dell because it's more compact and lighter.
Test Results

The Dell Alienware m16 has a gamer-oriented design. It has a dark gray chassis, relatively thin bezels, a power button shaped like the Alienware logo, and an RGB backlit keyboard. There's also RGB lighting on the lid and the back of the laptop. The honeycomb-patterned grills above the keyboard are air vents; the speakers are on the bottom near the front. Additional air vents are on the laptop's sides, back, and bottom. There aren't any ports on the laptop's right side, leaving more room to move the mouse, though this only helps right-handed users. It's only available in this Dark Metallic Moon color.
The Dell m16's build quality is outstanding. The metal and plastic construction feels very sturdy, exhibiting only a small amount of flex on the lid and almost none on the keyboard deck and display. The finish is fairly scratch-resistant and doesn't pick up many fingerprints for a dark-color finish. The feet feel solid and stick firmly to the bottom.
The Dell m16's hinge is outstanding. It feels smooth when opening and closing the lid, and it's very stable, exhibiting almost no wobble when moving the laptop or typing aggressively. It has a fair amount of resistance, but you can still open the laptop with one hand because the base is heavy.
The Dell Alienware m16 and its power adapter are bulky and heavy. Check out the newer Dell Alienware m16 R2 (2024) if you want a more compact gaming laptop for on-the-go use.
The Dell m16's serviceability is outstanding. Accessing the internals is very easy; you only need to remove eight Philips screws and undo a few clips. A prying tool helps but isn't necessary. Models with an RTX 4080, RTX 4090, or Radeon RX7600M GPU have one M.2 2230 and two M.2 2280 slots, while models with an RTX 4060 or 4070 GPU only have two M.2 2280 slots.
You can download the service manual here.
The Dell Alienware m16 is available with the following displays:
- 16" IPS 2560 x 1600 165Hz
- 16" IPS 2560 x 1600 240Hz
- 16" IPS 1920 x 1200 480Hz
The choice of the display depends on your usage. The sharper QHD+ panels (2560 x 1600) are a better option if you often play games in which you have the time to appreciate the graphics, like atmospheric games and RPGs. Their increased sharpness also makes them better for productivity and media consumption. The FHD+ (1920 x 1200) panel's sharpness is acceptable; its pixel density of 141 PPI may seem low if you're used to higher-resolution screens like Apple MacBook's Retina displays, but keep in mind that it's still sharper than a 27-inch 1440p desktop monitor. The FHD+ display is better suited for fast-moving games like FPS and racing games due to its high refresh rate. All three panels have a 16:10 aspect ratio, which is quickly becoming the norm. It's slightly taller than the standard 16:9 aspect ratio. The increased vertical space doesn't affect gaming much, but it helps with productivity because you can see more information on the screen at once when reading a document or website, reducing the need to scroll. If you want a laptop with a larger screen for a more immersive gaming experience, check out the Dell Alienware m18 R2 (2024).
The 240Hz QHD+ display has a fast response time, resulting in a clear image with minimal ghosting in fast-moving scenes. The 165Hz QHD+ and 480Hz FHD+ panels have the same advertised 3ms response time. A display with a higher refresh rate provides a more responsive gaming experience; however, you'll have to pair it with a GPU that can push high frame rates to get the most out of it.
The 240Hz QHD+ panel's contrast ratio is decent and within the typical range of most IPS panels. However, it's still relatively low compared to other display technologies like VA and OLED. The contrast level makes blacks look gray in dim settings. The other panels have the same advertised contrast ratio.
The screen gets reasonably bright. It's fine for most indoor use, but you may have visibility issues in well-lit or sunny rooms. It's not bright enough for outdoors in broad daylight. All three display options have the same advertised brightness of 300 cd/m². The screen is pretty dim at the lowest brightness setting, which is great for dark room viewing, as it causes less eye strain.
The display's reflection handling is decent. Its matte coating does a pretty good job of diffusing and reducing the intensity of bright light sources. You can still see some reflections when viewing bright-color content with the screen at maximum brightness, but they aren't overly distracting. You'll mostly have trouble viewing dark-color content. All three panels have the same anti-glare coating.
The 240Hz QHD+ display's horizontal viewing angle is okay. The image dims and washes out relatively quickly as you move to the side, so you need to be more or less directly in front of the screen to get the best accuracy. The other panels likely have the same viewing angle.
The 240Hz QHD+ display's vertical viewing angle is okay. Like the horizontal viewing angle, the image dims and washes when viewing from above and below, so you need to look at the screen more or less straight on to see an accurate image. This can be challenging in tight places where you don't have much room to tilt the screen, like on a bus or airplane.
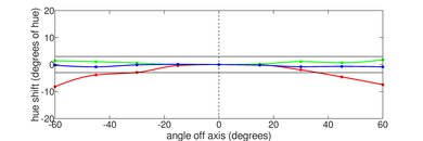
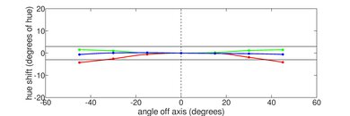
The 240Hz QHD+ display's out-of-the-box accuracy is bad. Most colors are visibly inaccurate because the default color profile targets a wider DCI P3 color space, which leads to oversaturation. Also, the color temperature is much warmer than the 6500K target, resulting in a reddish tint. The gamma follows the sRGB curve well, though dark scenes are a little too dark.
The 240Hz QHD+ display's color gamut is outstanding. It has full sRGB and DCI P3 coverage and near-full Adobe RGB coverage, making it suitable for SDR and HDR content creation and print photography. The 480Hz FHD+ display also has full DCI P3 coverage, while the 165Hz QHD+ display only has full sRGB.
You can configure the Dell m16 with a scissor switch or a mechanical keyboard with ultra low-profile CherryMX switches. Our unit has a scissor-switch keyboard. It feels spacious and is easy to get used to, though the keycaps could have been slightly larger. Key stability is good but slightly inconsistent, as some keys wobble more than others. The scissor switches have a lot of travel, don't require much force to actuate, and provide satisfying tactile and audio feedback. Due to the laptop's size and the keyboard's position, you may need to stretch your arms out further than usual to type, which can cause some fatigue over time. You can customize the RGB backlighting via the Alienware Command Center app. The backlighting is also inconsistent, as some keys look dimmer than others. There are two versions of the scissor-switch keyboard, one with single-zone backlighting and the other with per-key backlighting.
The mechanical keyboard uses clicky switches, which will provide more distinct tactile and audio feedback. It has per-key RGB backlighting.
The Dell m16's touchpad is decent. It tracks all movements and gestures well; it's just small, making things like dragging, dropping, and zooming in and out of images more challenging. There's no issue with palm rejection. You can only click in the bottom half of the touchpad; the buttons feel a tad mushy but better than the ones on the Dell Alienware m18 (2023).
The Dell m16's speakers get very loud with minimal compression artifacts at high volume levels. They sound full, clear, and natural. There's a decent amount of bass, not quite as much as the Apple MacBook Pro 16 (2021), but still respectable for a Windows laptop.
The Dell Alienware m16 has a good webcam. The image looks fairly detailed and well-exposed; however, the colors are slightly off, and there's some noise here and there. Voices sound reasonably clear over the microphone with minimal background noise.
The Dell Alienware m16's port selection is outstanding. Both USB-A ports support USB 3.2 Gen 1 data transfer speed of up to 5Gbps. The USB-A on the left (next to the Ethernet port) supports PowerShare, which lets you set how much of the battery's charge a connected device can draw when charging. For example, if you set it to 25%, charging will stop when you've used 25% of the laptop battery's total charge. You can also turn off charging completely. The two USB-C ports on the back of the laptop support USB 3.2 Gen 2 data transfer speed (up to 10Gbps data transfer speed) regardless of the configuration. However, support for DisplayPort varies. On models with a Radeon RX 7600M XT, RTX 4080, or RTX 4090 GPU, both USB-Cs support DisplayPort. On models with an NVIDIA GeForce RTX 4060 or 4070 GPU, only one USB-C supports DisplayPort. The Ethernet port has a maximum speed of 2.5Gbps.
The Dell m16 laptop's wireless adapter is a Qualcomm WCN685x Wi-Fi 6E Dual Band. You can also configure the laptop with a MediaTek MT7922 wireless adapter. The Qualcomm adapter has a maximum transfer rate of 3571 Mbps, while the MediaTek adapter can transfer up to 2400 Mbps. Wi-Fi 6E has faster speeds, lower latency, and less signal interference than previous Wi-Fi standards. However, you need a router that supports Wi-Fi 6E to benefit from these features.
The Dell Alienware m16 is available with the following CPUs:
- AMD Ryzen 7 7745HX (8 cores/16 threads, up to 5.10GHz, 32MB cache)
- AMD Ryzen 9 7845HX (12 cores/24 threads, up to 5.20GHz, 64MB cache)
- AMD Ryzen 9 7945HX (16 cores/32 threads, up to 5.40GHz, 64MB cache)
All three are high-performance CPUs designed for mobile workstations and gaming laptops. These AMD Zen 4-based chips can handle general productivity tasks like text processing and web browsing, as well as more demanding workloads like video editing, programming, and gaming. The CPU choice depends on the GPU, as there are limitations to the CPU/GPU pairing. The base Ryzen 7 7745HX is only available with an RTX 4060, while the top-end Ryzen 9 7945HX is only available with an RTX 4090. The middle option, the Ryzen 9 7845HX, is the most flexible, as you can pair it with the Radeon 7600M XT, RTX 4070, or RTX 4080. Since most games are GPU-limited, choosing based on the GPU is best. If you're specifically looking for CPU processing power, you can simply choose based on the specs. More cores, faster clock speeds, and a larger cache will give you better performance.
The Dell Alienware m16 is available with the following GPUs:
- AMD Radeon RX 7600M XT 8GB GDDR6 VRAM (120W TGP)
- NVIDIA GeForce RTX 4060 Laptop GPU 8GB GDDR6 VRAM (140W TGP /w Dynamic Boost)
- NVIDIA GeForce RTX 4070 Laptop GPU 8GB GDDR6 VRAM (140W TGP /w Dynamic Boost)
- NVIDIA GeForce RTX 4080 Laptop GPU 12GB GDDR6 VRAM (175W TGP /w Dynamic Boost)
- NVIDIA GeForce RTX 4090 Laptop GPU 16GB GDDR6 VRAM (175W TGP /w Dynamic Boost)
The AMD Radeon RX 7600M XT and the NVIDIA GeForce RTX 4060 are roughly similar in performance. They're better suited for 1080p gaming but can run most games at 1440p if you don't mind playing with low graphical settings. Choosing between the RX 7600M XT and the RTX 4060 will depend on the games you play, as some games will run better on the 7600M XT, while others will run better on the RTX 4060. The RTX 4070, 4080, and 4090 can all handle 1440p gaming; the 4080 and 4090 will simply give you more headroom to play with higher graphical settings or push higher frame rates. All available GPUs support ray tracing and have their respective upscaling feature (FSR/DLSS) to boost frame rates in supported games. The NVIDIA 40-series GPUs have a new feature called Frame Generation, which uses AI to insert artificially generated frames, resulting in higher frame rates and smoother gameplay in supported games. The number of games that support this feature is small for now but will likely grow quickly. The AMD Radeon RX 7600M XT doesn't have a similar feature.
This laptop has a MUX (multiplexer) switch. This feature allows the GPU to send information directly to the display without going through the integrated GPU. This means you'll see better performance than laptops without this feature. The performance difference can be anywhere from 10% to 25%, or more in some cases.
You can configure this laptop with 16GB, 32GB, or 64GB of RAM. According to Dell's specifications, the RAM speed can be either 4800MHz or 5200MHz, depending on the region of sale. The memory modules are user-replaceable.
You can configure this laptop with 512GB, 1TB, 2TB, 4TB, 8TB, or 8.5TB of storage. Except for the 512GB and 1TB storage options, the other storage configurations are available in a RAID 0 array, meaning the laptop will have two or three SSDs acting as a single unit. RAID 0 significantly boosts drive speeds by splitting the data evenly across multiple drives; however, the failure of one drive can cause data loss across all drives. The SSDs are user-replaceable. Models with an RTX 4080, RTX 4090, or Radeon RX7600M GPU have one M.2 2230 and two M.2 2280 slots, while models with an RTX 4060 or 4070 GPU only have two M.2 2280 slots.
The Dell Alienware m16 with an AMD Ryzen 9 7845HX CPU scores very high in the Geekbench 5 benchmarks. The 7845HX has no problem handling general productivity tasks and demanding workloads like programming, physics simulations, and CAD. These are results in the default Balanced mode. You can change the performance mode in the Alienware Command Center app. The Performance or Overdrive don't seem to do much and only boost performance by up to 3%. The Ryzen 7 7745HX will be slower, while the Ryzen 9 7945HX will be faster.
For GPU-heavy workloads, all of the available discrete GPUs are suitable for demanding tasks, so it's a matter of how smooth an experience you expect and how fast you want to complete tasks. If you work with extremely complex materials, getting a model with an RTX 4070, 4080, or 4090 is probably best.
The Dell m16 has a superb overall score in the Cinebench R23 benchmarks. The AMD Ryzen 9 7845HX has no problem handling demanding, multi-threaded applications and heavy multitasking. The Ryzen 7 7745HX is slower but still adequate for intensive tasks. The Ryzen 9 7945HX is faster and will give you the smoothest experience. The Performance and Overdrive modes have minimal effect on single-thread performance; however, they do improve multi-thread performance by 3% and 5%, respectively.
The Dell Alienware m16 is well-suited for Blender work. A discrete GPU renders images much faster than almost any CPU. The AMD Radeon RX 7600M XT performs well and can handle everything you'd need to do in Blender; however, getting a model with an NVIDIA GPU is best because Blender can benefit from NVIDIA's Optix hardware acceleration and render images in even less time.
The Dell m16 with an AMD Radeon RX 7600M XT performs well in the Basemark GPU benchmark. The AMD Radeon RX 7600M XT and the RTX 4060 are best suited for 1080p gaming and can handle some games at 1440p, albeit with low graphical settings. If you want to play all your games at 1440p, it's best to go with an RTX 4070, 4080, or 4090, preferably the 4080 or 4090, because the 4070 only has 8GB of VRAM. A lack of VRAM can cause stutters as well as texture pop-ins, meaning some elements take longer to load and seem to appear out of nowhere.
The 1TB SSD's performance is outstanding. Its fast read and write speeds allow the system to quickly boot up, launch apps, and transfer files. Its sequential read speed is particularly fast, which will help shorten game loading times. The larger capacity SSDs will likely perform better. You can get this laptop with two or three SSDs in a RAID 0 array, further improving performance.
The Dell Alienware m16's battery life is terrible. You'll have to use the laptop plugged in for the most part, especially when gaming.
Borderlands 3 runs well on the Dell m16 with an AMD Radeon RX 7600M XT GPU. The average frame rate is high, and while there are some stutters, they don't happen enough to make it unplayable. You can even play the game at 1440p, albeit with some tweaks in the settings. All the NVIDIA GPUs can run this game smoothly at 1080p or 1440p. Switching to the Performance or Overdrive mode has almost no effect on the performance.
We've run additional benchmarks in Red Dead Redemption 2 and Cyberpunk 2077 to give you a better idea of the performance on a model with a Ryzen 9 7845HX and Radeon RX 7600M XT. Here are the results:
Red Dead Redemption 2
- Avg FPS (1080p, high settings): 163 fps
- Avg FPS On Very Low: 165 fps
Cyberpunk 2077
- Avg FPS (1080p, high settings): 83 fps
- Avg FPS On Very Low: 107 fps
- Avg FPS (1080p, high settings, ray tracing): 36 fps
Every configuration of the Dell m16 can push high frame rates in Civilization VI, as it isn't a graphically intensive game. Stutters happen, but only occasionally. You can even play this game at 1440p with minimal tweaks in the graphical settings. The average turn time is decent and in the expected range for an AMD Ryzen 9 7845HX CPU. Upgrading to the Ryzen 9 7945HX will only slightly improve the turn time.
Counter-Strike 2 runs very well despite what the results show. Although our frame data tool records significant frametime spikes, the actual gameplay is very smooth, with almost no stutters. Every configuration can easily run this game at 1440p. The Performance and Overdrive modes boost performance by 3% and 4.7%, respectively.
Every configuration of the Dell m16 laptop can run Shadow of the Tomb Raider and other similarly demanding games smoothly at 1080p and 1440p. Switching to the Performance or Overdrive profile has little to no effect on the performance.
The keyboard is cool when idle and only gets mildly warm under load. When performing lighter tasks, the fans are only audible if you get very close to the laptop. Unfortunately, they get much louder under load, even in the Balanced profile. Switching to the Overdrive mode makes the fans spin at full speed all the time and raises the noise level to 55.5 dBA.
The Alienware m16's performance over time is superb. Neither the CPU nor the GPU noticeably throttles under load. The results are almost identical in the Performance and Overdrive modes.
The Dell m16 has many pre-installed applications, including:
- Alienware Command Center: Lets you change the power and performance settings, launch games, customize the RGB lighting, and view system status like CPU/GPU usage and temperature.
- Alienware Customer Connect: Survey about the system's performance.
- Alienware Digital Delivery: Lets you download digital content purchased from Dell.
- Alienware Update: Keeps the BIOS, drivers, and firmware up to date.
- Dell SupportAssist: Scans your computer for firmware and driver updates.
- intelliGo Neptune: Noise cancellation software to reduce background noise on video calls.
- My Alienware: Shows your laptop's specifications, warranty, and other info.
- Solitaire & Casual Games: Solitaire, FreeCell, Spider, Mahjong, Sudoku, and other casual games.
- Spotify: App for the music streaming service.
The Dell Alienware m16 has a facial recognition IR camera. You can use it to log in quickly, authorize purchases in the Windows Store, and auto-fill saved passwords on supported websites. You can customize the keyboard's backlighting, the lighting on the lid, and the lighting on the back of the laptop via the Alienware Command Center application.










































































Comments
Dell Alienware m16 R1 (2023): Main Discussion
Let us know why you want us to review the product here, or encourage others to vote for this product. Comments transferred from merged discussions are also included.
This product has been merged with Dell Alienware M16 R1 Gaming Laptop, Intel 16-Core. Follow the discussion here.
Nearly bought one but 300- nits it shouldn’t be in the list
Update: Converted to Test Bench 0.8.2.