The Hisense 98QD5QG is an entry-level model released in 2025. It's one of the cheapest TVs available in this size range, but it's a very basic 4k TV with an LCD panel and no local dimming. However, it does have modern gaming features like two HDMI 2.1 ports, 4k @ 144Hz, and VRR. It utilizes Google TV as its smart OS, which has a ton of available apps, and gives you smart features like voice control and the ability to cast content from your phone using AirPlay or Chromecast. We bought and tested the 98-inch model, which is the only size available.
Our Verdict
The Hisense 98QD5QG is sub-par for mixed usage. The TV is just bright enough to handle glare in a moderately lit room, especially when combined with its matte screen coating. Unfortunately, it looks quite bad in a dark home theater due to its awful contrast and poor HDR brightness. The TV has modern gaming features, but its gaming performance is really held back by very blurry motion. That motion blur also affects the clarity of fast-paced sports. Fortunately, it does have a wide viewing angle, so it's alright for a wide seating arrangement.
Great handling of direct reflections.
Wide viewing angle.
Awful contrast and poor black uniformity makes the image look washed out.
Too dim in SDR to handle glare in a bright room.
Too dim in HDR for an impactful experience.
The Hisense 98QD5QG is a poor TV to use in a home theater. It has awful contrast, so blacks look gray during most scenes, and dark scenes look washed out. It also has poor HDR brightness, so highlights don't stand out at all in HDR movies, which leads to an underwhelming experience. Fortunately, colors have good accuracy out of the box in SDR and HDR, but it doesn't display dark colors or bright ones well at all. Fortunately, it does a good job upscaling and cleaning up low-quality content.
Very good color accuracy in SDR and HDR out of the box.
Good upscaling and very good low-quality content smoothing.
Very little stutter due to slow response time.
Awful contrast and poor black uniformity makes the image look washed out.
Too dim in HDR for an impactful experience.
Struggles with dark and bright colors in HDR.
The Hisense 98QD5QG is adequate for a bright room. It's just bright enough in SDR to handle some glare in a moderately lit room, and its matte screen coating does a great job reducing the intensity of direct reflections. However, blacks are very raised, and color saturation drops, so you lose a noticeable amount of image quality in a bright room.
Great handling of direct reflections.
Too dim in SDR to handle glare in a bright room.
Black levels are raised and colors lose saturation in a bright room.
The Hisense 98QD5QG is alright for watching sports. It's bright enough for a moderately lit room and does a great job reducing the intensity of direct reflections. It also has a wide viewing angle, so the image mostly stays consistent when viewed from the sides of the screen. However, it has a very slow response time, so motion in fast-paced sports is blurry. It also has mediocre uniformity, so anything with uniform color, like a hockey rink or playing field, has dim corners and a dirty screen effect towards the center.
Very good color accuracy in SDR and HDR out of the box.
Great handling of direct reflections.
Good upscaling and very good low-quality content smoothing.
Wide viewing angle.
Too dim in SDR to handle glare in a bright room.
Very slow pixel response times lead to blurry motion.
Dirty screen effect and dim corners due to poor uniformity.
Black levels are raised and colors lose saturation in a bright room.
The Hisense 98QD5QG is sub-par for gaming. It has two HDMI 2.1 bandwidth ports, 4k @ 144Hz, and VRR, so it has great compatibility with modern consoles. It also delivers low input lag, so gaming feels responsive. However, pixel response times are very slow, so there's a lot of motion blur, especially in faster titles. HDR games have next to no impact due to the TV's awful contrast and poor HDR brightness. It also has lackluster image quality in SDR, so games don't look very good at all.
Very good color accuracy in SDR and HDR out of the box.
Very low input lag, especially at 120Hz and 144Hz.
HDMI 2.1 bandwidth, 4k @ 144Hz, and VRR.
Awful contrast and poor black uniformity makes the image look washed out.
Too dim in HDR for an impactful experience.
Very slow pixel response times lead to blurry motion.
Struggles with dark and bright colors in HDR.
The Hisense 98QD5QG has poor brightness overall. It's just bright enough in SDR for a moderately lit room. However, its poor HDR brightness means highlights don't stand out as they should in HDR, leading to a lackluster HDR experience.
Too dim in SDR to handle glare in a bright room.
Too dim in HDR for an impactful experience.
The Hisense 98QD5QG has awful black levels. It doesn't have local dimming to deepen blacks, and its native contrast ratio is bad, so blacks look gray during most scenes, and the image looks washed out.
Awful contrast and poor black uniformity makes the image look washed out.
The Hisense 98QD5QG has decent colors. It has solid color accuracy in SDR and HDR out of the box, so colors mostly look as they should. However, the TV struggles with dark colors in SDR and HDR, and it doesn't have the luminance required to display bright, punchy colors in HDR.
Very good color accuracy in SDR and HDR out of the box.
Good SDR color volume.
Struggles with dark and bright colors in HDR.
Note: We're in the process of improving our tests related to image processing, but this score should give you a general idea of how a TV performs overall with its image processing capabilities.
The Hisense 98QD5QG has decent processing. Its PQ EOTF tracking is adequate, but blacks are significantly raised. The TV does a good job upscaling and a very good job cleaning up artifacts in low-bitrate content without losing a ton of detail. Finally, there's some banding in most color gradients, but it's not too bad.
Good upscaling and very good low-quality content smoothing.
The Hisense 98QD5QG has decent responsiveness in its dedicated gaming mode. It has two HDMI 2.1 ports capable of up to 4k @ 144Hz with VRR, so it has great compatibility. You also get low input lag, especially at higher refresh rates, so gaming feels snappy. Unfortunately, the TV is held back by its slow pixel response times, which leads to very blurry motion.
Very low input lag, especially at 120Hz and 144Hz.
HDMI 2.1 bandwidth, 4k @ 144Hz, and VRR.
Very slow pixel response times lead to blurry motion.
We're in the process of fixing the way we evaluate a TV's overall motion handling. This section is currently broken, and the score isn't indicative of how well a TV handles motion overall.
Performance Usages
Changelog
-
Updated Nov 25, 2025:
Added a link to our new Best 98-100 Inch TVs recommendation article in the Popular TV Comparisons section.
- Updated Nov 21, 2025: Review published.
- Updated Nov 19, 2025: Early access published.
- Updated Nov 11, 2025: Our testers have started testing this product.
Check Price
Differences Between Sizes And Variants
We bought and tested the Hisense 98QD5QG, which is the only size available. There's the similarly named Hisense 98QD5N, sold in regions such as Canada, which has the same specifications, so it should perform more or less the same.
| Size | US Model |
|---|---|
| 98" | Hisense 98QD5QG |
Our unit was made in Mexico in June 2025.
Popular TV Comparisons
The Hisense 98QD5QG is one of the cheapest models available in a 98-inch size, but it's an underwhelming TV. At first, you might be impressed by just how large the screen is. However, once the novelty of a huge TV wears off, you're left with a TV that has poor image quality overall. If you want a huge model with better image quality, you're much better off spending more to get a budget model like the 98-inch TCL QM6K. You can also opt for smaller sizes of the TCL QM7K or Hisense U75QG, both of which offer a substantially better picture.
For more options, check out our recommendations for the best 98-100 inch TVs, the best movie TVs, and the best gaming TVs.
The TCL QM6K is much better than the Hisense 98QD5QG. The TCL has local dimming, so blacks are much deeper and more uniform. The TCL also has superior HDR brightness and processing, so SDR and HDR content look better on it. There's a lot less motion blur on the TCL as well, making it the better option for gamers and for watching sports.
The TCL 98QM8K and the Hisense 98QD5QG aren't even on the same playing field. The TCL is significantly better across the board, with drastically better black levels, colors, and processing, so it provides a massive leap in overall image quality. Furthermore, the TCL is much brighter, so it's suitable for very bright rooms and provides a superior HDR experience. Finally, the TCL displays much clearer motion, making it better for sports and gaming.
The Hisense 100U8QG is way better than the Hisense 98QD5QG. The 100U8QG is significantly brighter overall, so it overcomes a lot more glare in a bright room, and highlights in HDR content are way more impactful. The 100U8QG also displays drastically deeper blacks due to its local dimming, so it's much more suitable for a home theater setting. On top of that, the 100U8QG has punchier colors, better processing, and supports 4k @ 165Hz, making it more versatile.
The Sony BRAVIA 5 98 is much better than the Hisense 98QD5QG. The Sony is brighter in SDR and HDR, so it handles more glare in a bright room and highlights pop out much more in HDR. The Sony also has superior black levels due to its local dimming feature, so the image has way more depth to it. To round it out, the Sony displays clearer motion, has superior image processing, and better colors, so it's better for pretty much every usage.
We buy and test dozens of TVs yearly, taking an objective, data-driven approach to deliver results you can trust. Our testing process is complex, with hundreds of individual tests that take over a week to complete. Most of our tests are done with specially designed test patterns that mimic real content, but we also use the same sources you have at home to ensure our results match the real-world experience. We use two main tools for our testing: a Colorimetry Research CR-100 colorimeter and a CR-250 spectroradiometer.
Test Results
The Hisense 98QD5QG has poor peak brightness in HDR. It's just too dim to truly provide an impactful HDR experience, especially when combined with its awful contrast. Bright specular highlights like the lamps in the hallway scene don't stand out at all, but its brightness is consistent, so entirely well-lit scenes aren't any dimmer than small highlights.
There's no visible difference in HDR brightness when using the HDR Game Mode.
This TV has mediocre peak brightness in SDR. It's not bright enough to overcome glare in a bright room, but it's good enough for a dim room with a few lights on or with the curtains closed during the day. There’s no variation in peak brightness with different scenes.
The Hisense 98QD5QF has awful contrast. It doesn't have local dimming to deepen blacks, and its native contrast ratio is bad, so blacks look gray, and dark scenes look severely washed out.
The TV doesn't have a local dimming feature, so there are no lighting zones. This means there's no haloing around bright elements against a dark background or subtitles, but the entire image looks gray and washed out.
This TV doesn't have a local dimming feature, so it can't adjust the backlight of individual zones to brighten up highlights without impacting the rest of the image. This means that there are no distracting flickers or brightness changes as bright highlights move between dimming zones.
Switching to PC/Game Mode doesn't result in any noticeable difference in dark scene performance.
This TV has poor black uniformity. The entire screen is bluish and cloudy, and there's no local dimming feature to improve its uniformity in dark scenes.
The Hisense 98QD5QG has good color volume in SDR. It has great coverage of the DCI-P3 color space, but it does struggle a bit with low luminance colors. The TV's coverage of the widest BT.2020 color space is just okay, and here it struggles with almost all colors across the board.
| Volume ΔE³ | DCI-P3 Coverage |
BT.2020 Coverage |
|---|---|---|
| L10 | 76.54% | 54.44% |
| L20 | 85.62% | 62.19% |
| L30 | 88.06% | 64.48% |
| L40 | 89.36% | 67.39% |
| L50 | 90.38% | 68.48% |
| L60 | 90.52% | 67.63% |
| L70 | 90.36% | 61.72% |
| L80 | 89.28% | 58.91% |
| L90 | 88.92% | 60.10% |
| L100 | 95.19% | 87.45% |
| Total | 89.66% | 64.57% |
This TV has passable color volume in HDR. It can't display dark saturated colors very well due to its low contrast and lack of a local dimming feature. Bright colors aren't displayed well, either, due to its low peak brightness.
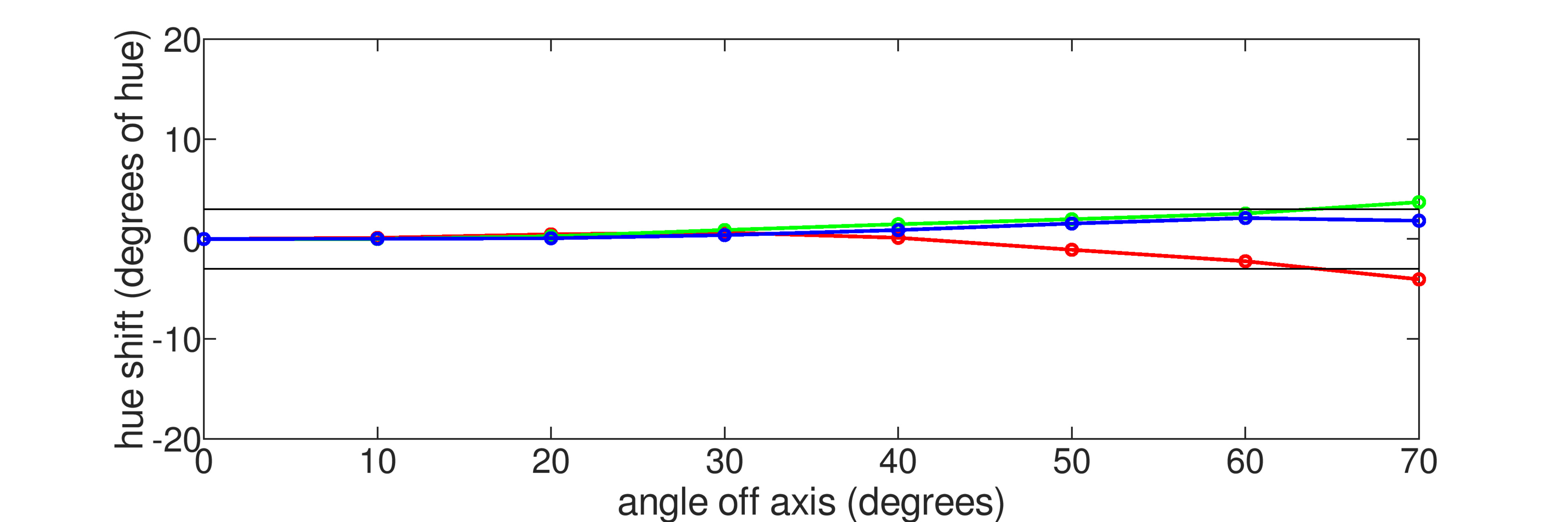
The TV has great SDR color accuracy before calibration. Its color temperature is very close to the industry standard 6500K. The white balance is great overall, but RGB levels are underrepresented in most grays, which makes the TV's gamma lean closer to 2.4 than 2.2. Still, colors have great accuracy overall, with only minor errors that most people won't notice.
The TV has outstanding SDR color accuracy after calibration. The white balance, color temperature, and color accuracy are all close to perfect.
It's worth noting that setting the gamma to 2.2 undertracks the reference target, and setting the gamma to 2.0 is actually much closer to 2.2, so that's what we used for calibration.
See our full calibration settings.
The TV has very good HDR color accuracy before calibration. The color temperature is great, but it's just a bit too cool. The white balance is very good, but there's some unevenness in RGB values that mostly affects darker grays. Overall color accuracy is decent, but there are noticeable mapping errors throughout the TV's color range.
Calibrating the TV in HDR helps to improve accuracy, but it's still not perfect. The color temperature is closer to 6500K, and the white balance is now fantastic overall. The overall accuracy of colors has improved by a good margin, but there are still mapping errors in many hues.
The Hisense 98QD5QG has adequate PQ EOTF tracking. Blacks are significantly raised due to the TV's awful contrast. However, the TV closely follows the curve until it rolls off near its maximum luminance, which helps retain some detail in highlights.
The TV does a very good job cleaning up artifacts in low-quality content. Most artifacts in heavily compressed content are removed, and some detail is retained in the image.
The Hisense 98QD5QG does a good job at upscaling low-resolution content like DVDs or lower-resolution streams. The image is sharp enough to enjoy, but finer details are hard to make out.
The TV has mediocre gradient handling. With the exception of bright reds, there's noticeable banding in all gradients, but it's not too bad.
The TV has low input lag overall. At 120Hz and the TV's maximum refresh rate of 144Hz, the input lag is very low, which is great for gamers playing at high frame rates.
The Hisense 98QD5QG supports all common resolutions up to 4k @ 144Hz, and it supports chroma 4:4:4, so it has great compatibility. It also offers 1080p @ 240Hz.
The TV supports FreeSync, HDMI Forum VRR, and is G-SYNC compatible, ensuring a nearly tear-free gaming experience from any VRR-enabled source. It supports sources with Low Framerate Compensation (LFC), which ensures your games remain nearly tear-free even when your frame rate drops very low.
Unfortunately, it's not perfect, and there's some flicker that occurs when your frame rate hovers around 53–54 fps. Furthermore, VRR doesn't work when gaming in 1080p @ 240Hz.
The Hisense 98QD5QG has sub-par pixel transitions at its maximum refresh rate of 144Hz. Transitions to dark states are the slowest, so you see some black smearing during dark scene transitions. There's noticeable blur behind all fast motion, so fast-paced games lack clarity.
The TV has poor pixel transitions at 120Hz. Transitions to and from dark states are incredibly slow, which leads to visible black smearing. Pixel response times are also just slow across the board, so there's a ton of motion blur.
The TV has poor pixel transitions at 60Hz. Like at 120Hz, transitions to and from dark states are the slowest, which leads to visible black smearing. It's just slow overall, so there's very apparent motion blur.
The response time behavior also changes due to different overdrive settings above and below 53Hz, which is noticeable if your frame rate hovers around 53–54Hz.
The TV is fully compatible with everything the PS5 offers, like 1440p @ 120Hz and 4k @ 120Hz, as well as HDMI Forum VRR. It also supports Auto Low Latency Mode, so you don't have to worry about manually switching to PC/Game Mode to get the lowest input lag.
The TV is fully compatible with everything the Xbox Series X|S offers, including 4k @ 120Hz, HDMI Forum VRR, FreeSync Premium Pro, and Dolby Vision gaming. It also supports Auto Low Latency Mode, so you don't have to worry about manually switching to PC/Game Mode to get the lowest input lag.
Due to the TV's very slow response time, there's minimal stutter. You might notice some subtle stuttering during slow panning shots, but it's not bad at all, and not everyone will notice it.
The TV automatically removes judder from 24Hz sources. To remove judder from the native apps and 60p/60i sources, 'Motion Enhancement' must be set to 'Film.'
The TV is flicker-free with the brightness set to maximum. However, it flickers at 240Hz with brightness set to '99' and below, which is slow enough that it will bother people who are sensitive to it.
The TV doesn't have an optional backlight strobing feature, commonly known as black frame insertion (BFI), to help reduce persistence blur.
There's an optional motion interpolation feature on this TV, but it introduces a lot of artifacts around characters and even backgrounds. It also introduces a slight halo effect that's more pronounced in faster moving scenes.
The Hisense 98QD5QG handles direct reflections well. Due to its matte screen finish, it does a great job reducing the intensity of reflections from sources of light that are directly facing the screen.
The Hisense 98QD5QG has disappointing black levels in a well-lit room. Blacks are significantly raised in a bright room, so they look very gray, and the image looks washed out.
The total amount of reflected light is just okay. Even though it has a matte coating, very bright lights are still visible on the screen. Furthermore, the matte coating spreads reflections across the screen, which can be distracting during dark scenes. Fortunately, there are no distracting artifacts or rainbow smearing.
The TV's perceived color volume is sub-par in a bright room. Mid-luminance and high-luminance colors aren't affected too much, but low-luminance colors lose a ton of saturation.
The TV has a wide viewing angle. There's some color washout and a loss of brightness from more aggressive angles, but the image mostly looks consistent when viewed from the sides of the screen.
The TV has mediocre gray uniformity. The sides of the screen are noticeably darker than the rest of the image, and there's visible dirty screen effect towards the center of the screen. It's a bit better in near-black scenes, but even there, you'll see some patchy spots across the screen.
This TV uses an RGB subpixel layout, which benefits text clarity.
It uses a KSF phosphor coating to produce red light and has decently high peaks on reds and blues. This model does have good separation between colors, giving it good color purity and a wide color gamut.
This TV has two ports that support HDMI 2.1 bandwidth, and two standard HDMI 2.0 ports. It doesn't support ATSC 3.0, so you're limited to a maximum of 1080p for over-the-air broadcasts.
This TV supports eARC, which allows you to pass high-quality, uncompressed audio to a compatible receiver through an HDMI cable. It supports all major audio formats, so you don't have to worry about compatibility with external sources.
The Hisense 98QD5QG has a pretty basic design. It doesn't look like a premium model, but it looks pretty good for its price, and the bezels are pretty thin.
The two feet are made of metal and are set at the ends of the TV, with no alternative mounting position. The feet only lift the TV about 2.08", so only very thin soundbars fit underneath without blocking the screen.
The footprint of the 98-inch stand is 70.3" x 18.9".
The inputs are housed in a central electronics box, so even though most of them face to the side, they're hard to reach. Unfortunately, there's nothing to help with cable management.
The TV has decent build quality. It's built from a mixture of plastic and metal and is made solidly enough that it doesn't feel too cheap. It wobbles a bit when you're cleaning the screen, but it quickly settles.
The unboxing process is pretty easy. Similar to other large TVs, you lift the box upward, leaving the protective foam base in place to mount the stand. There's also a built-in handle on the back, which helps a lot when moving the TV.
Unfortunately, like most TVs on the market, the smart interface contains ads, and you can't disable them.
The Hisense 98QD5QG uses a lot of power. It's not quite as power hungry as other big TVs like the Sony BRAVIA 5 98, but you should still expect to pay more on your energy bill than you would with smaller sizes.
The Hisense 98QD5QG has a sub-par frequency response. There's pretty much no bass, and the TV speakers don't get very loud. The sound profile is well-balanced at lower volume levels, but dialogue becomes increasingly difficult to understand as you raise the volume. Like most TVs, you're best off pairing it with a soundbar.



