The Panasonic W70B is a new entry-level TV released as part of Panasonic's 2025 U.S. lineup. It's a very basic TV, with a 60Hz refresh rate and very few additional features. It doesn't have local dimming or any advanced gaming features like VRR or HDMI 2.1. It runs the Fire TV smart interface, which has a great selection of apps and offers some customization. We bought and tested the 65-inch model, but it's also available in 43, 50, 55, 70, 75, and 85-inch models.
Our Verdict
The Panasonic W70 is a sub-par TV all around. It delivers poor overall picture quality, even in SDR, so it's not a good choice for home theater users. It looks best in a dim room, as it can't get bright enough to overcome glare in a bright room. Dark room performance isn't great, either, as it has a low contrast ratio and no local dimming. It's also a poor choice for gaming due to its slow response time and lack of gaming features.
Fantastic SDR accuracy out of the box.
Low contrast, no local dimming.
Not bright enough to overcome glare.
Can't remove judder.
Can't smooth out low-quality content at all.
The Panasonic W70 is a poor choice for a home theater. It has low contrast and no local dimming feature, so blacks and shadow details look bad. Colors are disappointing, as the TV can't display a wide color gamut. It also has very limited processing capabilities, as it can only decode HDR10+, meaning it doesn't actually use the dynamic metadata, and it can't remove judder from 24p content. It's also not bright enough to deliver an impactful HDR experience, and although it supports HDR10, this TV is really best suited for SDR content.
Fantastic SDR accuracy out of the box.
Can only decode HDR10+, it doesn't use the dynamic metadata.
Low contrast, no local dimming.
Can't remove judder.
Near-blacks are raised and look washed out in HDR.
Can't smooth out low-quality content at all.
The Panasonic W70 isn't suited for watching in a bright room. It's not bright enough to overcome glare, and the screen finish does very little to reduce direct reflections, so glare from windows and lights is distracting. On the other hand, ambient light has little impact on black levels and color saturation, but it has low contrast and poor color saturation anyway.
Black levels and colors are barely affected by ambient lighting.
Not bright enough to overcome glare.
Colors in SDR are muted and dull.
Poor reflection handling.
The Panasonic W70 is disappointing for watching sports. It doesn't look good in a bright room, as it can't overcome glare from windows and lights. It has poor motion handling, with significant blur around fast-moving objects. Colors are dim and muted, so the overall image lacks vibrancy. It also has mediocre uniformity, with noticeable dirty screen effect that's noticeable in sports with large playing fields. The TV's viewing angle is okay if you're watching the screen from a slight angle, but it's not good enough for wide seating arrangements.
Fantastic SDR accuracy out of the box.
Not bright enough to overcome glare.
Colors in SDR are muted and dull.
Poor reflection handling.
The Panasonic W70 is a poor choice for gamers. It's limited to a 60Hz response time, and there's significant blur around fast-moving objects. It doesn't support any advanced gaming features, either, like VRR or HDMI 2.1. It's fine for casual gaming at 60Hz, though, and it has low input lag for a somewhat responsive gaming experience.
Low input lag.
Very slow pixel transitions in Game Mode leads to blurry motion.
Doesn't support modern gaming features like HDMI 2.1, 120Hz, or VRR.
The Panasonic W70 Series has poor brightness. It's not bright enough in SDR to overcome glare from direct reflections like windows and lights. It doesn't get bright enough to deliver an impactful HDR experience, so you're better off sticking with SDR.
Not bright enough to overcome glare.
Too dim to deliver an impactful HDR experience.
The black level on the Panasonic W70 is bad. It has low contrast, so blacks are raised and look washed out in scenes that have a mix of bright and dark areas. There's no local dimming, either, so it can't improve the dynamic range in those scenes. It has decent black uniformity, but it's noticeably patchy, with some bright areas spread across the screen.
Low contrast, no local dimming.
Near-blacks are raised and look washed out in HDR.
The Panasonic W70 has mediocre colors. It has fantastic accuracy in SDR out of the box, but it can't display a wide color gamut. It has poor color volume in both HDR and SDR, resulting in dull and muted colors overall.
Fantastic SDR accuracy out of the box.
Colors in SDR are muted and dull.
Can't display a wide color gamut.
Note: We're in the process of improving our tests related to image processing, but this score should give you a general idea of how a TV performs overall with its image processing capabilities.
The Panasonic W70B has very limited processing capabilities. It handles incoming signals well, with very little banding in gradients and decent PQ EOTF tracking. It can only decode HDR10+, though, and doesn't make use of the dynamic metadata to improve picture quality. It has extremely limited picture processing, too, and it can't clean up low quality content at all. It's motion interpolation feature is also bad, resulting in a blocky, sub-par experience even in simpler scenes.
Good gradient handling.
Can only decode HDR10+, it doesn't use the dynamic metadata.
Can't remove judder.
Can't smooth out low-quality content at all.
The Panasonic W70 doesn't deliver a responsive gaming experience. It has low input lag, but it's limited to a 60Hz refresh rate, with no support for VRR to reduce tearing. Its slow response time delivers blurry motion overall, and it's very inconsistent, with brighter parts of the scene looking better than shadow details.
Low input lag.
Very slow pixel transitions in Game Mode leads to blurry motion.
Doesn't support modern gaming features like HDMI 2.1, 120Hz, or VRR.
We're in the process of fixing the way we evaluate a TV's overall motion handling. This section is currently broken, and the score isn't indicative of how well a TV handles motion overall.
Performance Usages
Changelog
- Updated Feb 05, 2026: We added text to the new Micro-Judder section and refreshed the text in the updated Judder and Response Time Stutter sections after converting the review to TV 2.1.
-
Updated Sep 12, 2025:
We bought and tested the Hisense QD6QF, and added a comparison in the Total Reflected Light section.
- Updated Aug 18, 2025: Review published.
- Updated Aug 14, 2025: Early access published.
Check Price
Differences Between Sizes And Variants
We bought and tested the 65-inch Panasonic W70B, and these results are also valid for the 43, 50, 55, 70, 75, and 85-inch models. There are no variants of this TV, and all sizes perform the same.
| Size | Model |
|---|---|
| 43" | Panasonic TV-43W70B |
| 50" | Panasonic TV-50W70B |
| 55" | Panasonic TV-55W70B |
| 65" | Panasonic TV-65W70B |
| 70" | Panasonic TV-70W70B |
| 75" | Panasonic TV-75W70B |
| 85" | Panasonic TV-85W70B |
Our unit was made in Mexico in January 2025, as shown on the product label.
Popular TV Comparisons
The Panasonic W70 Series is a very strange TV. It's definitely one of the cheapest TVs you can get from a mainstream brand in 2025, but it uses dated panel technology with a narrow color gamut and no local dimming. It's significantly outperformed by slightly more expensive models from competing brands, like the TCL QM6K and the Hisense U65QF. Even its software is very limited, and it lacks basic features found on almost every new TV released over the last few years, like judder removal and variable refresh rate support.
For better options, check out our lists of the best 4k TVs, the best TVs under $500, and the best 55-inch TVs.
The Panasonic W95A is significantly better than the Panasonic W70B. The W95A delivers a far more impactful HDR experience thanks to its higher peak brightness and full array local dimming feature. Colors are brighter and more vibrant on the W95A, and it displays a much wider color gamut. The W95A is also better for gaming thanks to its better selection of gaming features, including VRR support and a 144Hz refresh rate.
The Amazon Fire TV Omni Mini-LED Series is a much better TV than the Panasonic W70B. The Amazon TV delivers a much better experience overall, with higher peak brightness, better contrast, and better colors. The Amazon is also significantly better for gaming thanks to its wider range of gaming features, including VRR support and a 144Hz refresh rate.
The Hisense QD6QF delivers slightly better picture quality than the Panasonic W70B. The Hisense gets a bit brighter overall in HDR, so HDR delivers a slightly more impactful experience. It's also brighter in SDR, making it a bit easier to see the screen in a bright room.
The Hisense QD7QF is a lot better than the Panasonic W70B. The Hisense gets a lot brighter, so highlights in HDR stand out better and it can handle more glare in a bright room. The Hisense also has a full array local dimming feature, resulting in deeper blacks and better contrast between bright and dark areas of the scene. The 75, 85, and 100 inch Hisense models are even more interesting for gamers, since they support up to 144Hz and have HDMI 2.1 bandwidth.
We buy and test dozens of TVs yearly, taking an objective, data-driven approach to deliver results you can trust. Our testing process is complex, with hundreds of individual tests that take over a week to complete. Most of our tests are done with specially designed test patterns that mimic real content, but we also use the same sources you have at home to ensure our results match the real-world experience. We use two main tools for our testing: a Colorimetry Research CR-100 colorimeter and a CR-250 spectroradiometer.
Test Results
Unfortunately, the Panasonic W70 has poor brightness in HDR. It's not bright enough to bring out specular highlights in any scene, and even bright outdoor scenes don't stand out at all. It also lacks any optional advanced picture processing settings like dynamic tone mapping to boost brightness in certain scenes. It's not as bright as the otherwise comparable Hisense QD6QF.
Switching to Game Mode increases brightness on test slides by almost 20%. This doesn't translate to most real content, though, and there's no noticeable difference. It's still not bright enough to bring out bright highlights, and games in HDR are still flat and dull overall.
The peak brightness in SDR is sub-par. It's bright enough to overcome some indirect glare in a bright room, but it's not a good choice for direct light or rooms with a lot of windows.
This TV has poor contrast. The native contrast of the panel is decent, but it's worse than similar entry-level models like the Samsung Q7F 2025. It lacks a local dimming feature, so blacks are raised and look washed out in scenes with any bright areas.
The TV doesn't have a local dimming feature, so there are no lighting zones. This means there's no halo effect around bright elements against a dark background, but the entire image looks gray and washed out.
This TV doesn't have a local dimming feature, so it can't adjust the backlight of individual zones to brighten up highlights without impacting the rest of the image. This means that there are no distracting flickers or brightness changes as bright highlights move between dimming zones.
Switching to Game Mode doesn't result in any noticeable difference in dark scene performance.
The black uniformity of this TV is just decent. There are cloudy spots throughout the screen, and they're noticeable in dark scenes in real content. There's no local dimming feature to reduce the backlight intensity behind dark areas of the screen.
This TV has disappointing color volume. It can't even really display the full range of colors used in the BT.709 color space for SDR content, and colors are dull and lifeless. Overall, it simply can't deliver a very lifelike experience. There's also a significant decrease in color saturation in very light scenes, similar to the Samsung Q7F 2025.
| Volume ΔE³ | DCI-P3 Coverage |
BT.2020 Coverage |
|---|---|---|
| L10 | 79.88% | 55.32% |
| L20 | 78.15% | 53.46% |
| L30 | 79.29% | 54.28% |
| L40 | 76.52% | 53.51% |
| L50 | 74.54% | 53.01% |
| L60 | 71.33% | 50.59% |
| L70 | 66.08% | 42.58% |
| L80 | 64.54% | 39.80% |
| L90 | 63.06% | 38.75% |
| L100 | 69.47% | 45.97% |
| Total | 70.36% | 46.97% |
This TV has poor color volume in HDR. Dark tones lack depth due to its lack of local dimming and low contrast. It's not very bright, either, so both bright colors and pure whites simply aren't bright enough to stand out.
The Panasonic W70B is surprisingly accurate out of the box in SDR. The factory calibration is nearly perfect, with no noticeable issues with the white balance or color accuracy. The color temperature is also nearly perfect, and gamma closely tracks the 2.2 target.
Unfortunately, this TV only offers a basic 1-point white balance calibration, and any changes to it made the accuracy worse on our unit.
Ssee our full calibration settings.
The accuracy in HDR is okay overall. The white balance is very good, with just a bit too much blue in brighter shades. The color accuracy is a bit worse, and the overall color temperature is on the cool side.
The 1-point white balance calibration on this TV is slightly effective at improving HDR accuracy, but it's really limited. It looks a bit better after calibration, but the issues with white balance and color accuracy are still there. The color temperature is a bit closer to the target, though.
The PQ EOTF tracking on this TV is decent overall. Very dark details are raised due to the TV's low contrast ratio and lack of local dimming, but midtones are displayed accurately. There's a slight roll off near the TV's peak brightness, which helps preserve some gradation but not much.
There are a few optional settings in the Advanced Settings menu that should work to reduce noise in low-quality content, but they don't appear to do anything. There's no loss of fine details, but there's also no reduction in macro blocking or posterization.
This TV has decent sharpness processing when upscaling low quality content. Fine details and text is a bit jagged, but it's not over sharpened and looks decent overall.
The HDR gradient handling on this TV is good overall, but there are a few issues. There's noticeable banding in dark greens, and reds are limited by the TV's color gamut. The 50%-100% row is almost the same shade of red the entire length of the band.
This TV has low input lag at 60Hz when set to Game Mode. It doesn't support 120Hz and above at any resolution, so you don't get the benefits of the lower input lag you get when gaming at higher refresh rates. The input lag is considerably higher when outside of Game Mode, so navigating menus on external players feels sluggish.
This TV supports all common resolutions up to 4k @ 60Hz. Chroma 4:4:4 is displayed properly in both PC and Game modes, resulting in clear text from a PC.
This TV doesn't support VRR to reduce screen tearing.
This TV doesn't support a 120Hz refresh rate.
This TV only supports a 60Hz refresh rate, so these results are the same as the CAD In Game Mode @ Max Refresh Rate section.
This is a 60Hz TV with no advanced gaming features, so it can't take full advantage of the PS5. It has Auto Low Latency Mode (ALLM), so it'll automatically switch to Game Mode when the TV detects a game console as its input device, which gives you the lowest possible input lag for games.
This is a basic 60Hz TV with no support for advanced gaming features like VRR, so it can't take full advantage of the Xbox Series X. It has Auto Low Latency Mode (ALLM), so it'll automatically switch to Game Mode when the TV detects a game console as its input device, which gives you the lowest possible input lag for games.
Thanks to the TV's relatively slow response time, there's just a bit of stutter in low frame rate content.
Unfortunately, this TV can't remove judder from any source, including the native apps. This results in an uneven frame cadence when watching 24p content like most movies and shows.
It's extremely uncommon for modern TVs to be unable to remove judder, but this doesn't seem to be a bug. The Natural Cinema setting that enables judder removal on other TVs powered by Fire TV is completely missing from the menu on this TV.
This TV uses pulse-width modulation to control the backlight, so there's noticeable flicker at any Backlight setting below max. It flickers at a low frequency that isn't a multiple of 60, so it's noticeable and contributes to the TV's uneven frame cadence.
There's no optional backlight strobing feature, commonly known as BFI, on this TV. It always flickers at the same frequency.
There's a very basic motion interpolation feature on this TV, but it's not very good. Since this TV has very limited processing capabilities, it can't keep up even in simpler scenes, so there are significant artifacts, and a lot of fine details are lost.
The direct reflection handling on this TV is poor. The glossy coating does very little to reduce the intensity of direct, mirror-like reflections.
The TV does a fantastic job retaining its black levels in a bright room. Adding light to your room does almost nothing to the black levels.
The amount of total reflected light is bad. Windows and lights are extremely distracting, and since the TV isn't bright, this TV should only be used in a light controlled room. There's also a slight waviness to the panel which causes a noticeable diffraction effect on the screen.
Ambient light has very little effect on the overall color saturation on this TV. Colors aren't saturated in any lighting condition, though, due to this TV's poor color volume.
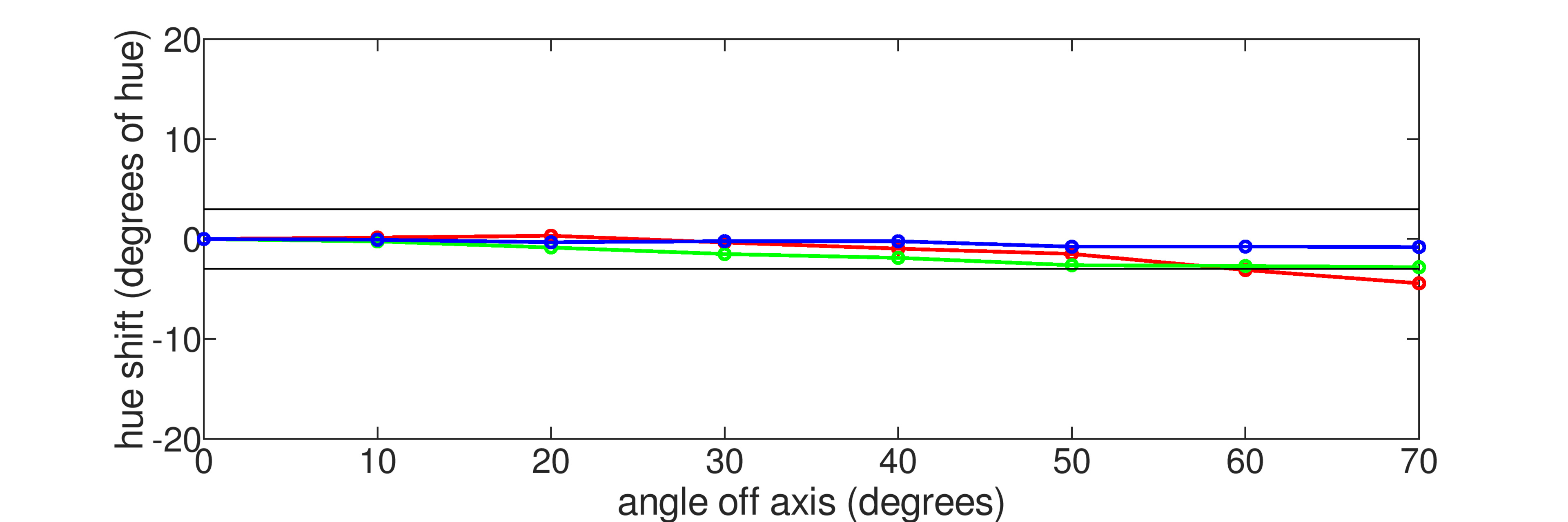
The Panasonic W70 Series has an okay viewing angle. The biggest issue is it's black level raise and gamma shift, which causes the screen to darken at a very moderate angle. Colors are a lot better, and there's very little color shift even at a very wide angle. Overall, it's better than average for TVs with a VA panel, but it's still not a good choice for a wide seating arrangement.
The uniformity on this TV is mediocre. It's very patchy, with bright chunks spread across the screen, and the corners are noticeably darker. This patchiness is even more noticeable in near-black scenes.
The TV uses a BGR (Blue-Green-Red) subpixel layout instead of the traditional RGB layout. For video or gaming content, this doesn't cause any issues, but for PC monitor use, it can be a problem as it impacts the text clarity, although not everyone will notice this.
The spectral power distribution on this TV shows poor color separation between green and red, which explains its sub-par color performance.
This TV is limited to HDMI 2.0 bandwidth on all four inputs.
The Panasonic W70 doesn't support any DTS audio formats, which is disappointing as many Blu-rays use DTS for their lossless audio tracks.
The Panasonic W70 doesn't support Dolby Vision and can only decode HDR10+. This means that it'll play HDR10+ content and show that it's in HDR10+ mode, but it's not following the dynamic metadata.
The Panasonic W70B looks okay from the front, with thin bezels on three sides and a slightly thicker bottom bezel. There's a bit more dead space between the outer bezel and the actual screen than more premium models.
The stand consists of two V-shaped feet installed near the ends of the TV. There's no alternate position.
Footprint of the 65-inch stand: 47.6" x 11.3" x 3"
The inputs face to the side of the TV, which is nice, but they're near the center which makes them hard to access if you wall mount it. There's no cable management.
The Panasonic W70 Series has okay build quality. The body is made of high-quality plastic and seems to be fairly well-built with no obvious flex or other issues.
The Panasonic W70 runs the Fire TV smart OS. It has a wide selection of apps and offers some customization. Overall, the interface is smooth and runs without issue.
Like most TVs, there are ads and sponsored content throughout the interface. There are even full screen ads with sound that play on the home screen.
The Panasonic W70 has a poor frequency response. It gets pretty loud, but the sound profile isn't well balanced. There's no deep bass or rumble, and dialogue is a bit muddied.


