The Vizio M7 Series Quantum 2020 is a good overall budget TV. It's very similar to the Vizio M8 Series Quantum 2020, but it doesn't get as bright and has fewer local dimming zones. It sports a VA panel that can produce deep blacks, great for viewing movies or gaming in the dark. Its fast response time results in only a short blur trail behind fast-moving objects, and it has an optional Black Frame Insertion feature to improve clarity further. Its input lag is low enough to satisfy most gamers, and it supports variable refresh rate technology to reduce screen tearing. However, it has narrow viewing angles, and it might not be able to fight intense glare in brightly-lit rooms. Also, while it has an outstanding color gamut with full coverage of the commonly-used DCI P3 color space, it doesn't get bright enough to make highlights pop in HDR content. Finally, its local dimming is mediocre and can be a bit distracting, as it raises the overall black level and is slow to transition between zones.
Our Verdict
The Vizio M7 Series Quantum 2020 is a good TV for most uses. It has low input lag, a fast response time, and it supports variable refresh rate technology, making it a great option for gaming. It's decent for watching TV shows and sports, as it has good reflection handling but might not be able to overcome intense glare. Its excellent contrast ratio makes it a good choice for watching movies; however, its local dimming is mediocre, and it doesn't get bright enough to deliver a convincing HDR experience.
- Excellent contrast ratio.
- Good reflection handling.
- Decent SDR peak brightness.
- Narrow viewing angles.
- Dirty screen effect.
The Vizio M7 Series Quantum 2020 is good for watching movies. It has an excellent contrast ratio and decent black uniformity to deliver a great dark room viewing experience. It can remove judder from 24p sources and native apps, and it doesn't stutter much in lower frame rate content. Unfortunately, its local dimming is mediocre, and there's a fair amount of dirty screen effect, although the latter can vary between units.
- Excellent contrast ratio.
- Can remove 24p judder.
- Decent black uniformity.
- Mediocre local dimming.
- Dirty screen effect.
The Vizio M7 Series Quantum 2020 is decent for watching TV shows. It handles reflections well but doesn't get very bright, so it might struggle to overcome intense glare. It has a VA panel with narrow viewing angles, which isn't ideal if you like to walk around while watching TV. On the upside, it's immune to permanent burn-in, so you don't have to worry about watching the same content or channel all day.
- Good reflection handling.
- Decent SDR peak brightness.
- Narrow viewing angles.
- Dirty screen effect.
The Vizio M7 Series Quantum 2020 is decent for watching sports. It has a fast response time and a Black Frame Insertion feature to deliver fast-moving scenes with minimal blur. It handles reflections well, but it might not be able to overcome intense glare. Also, its VA panel's narrow viewing angles make images look inaccurate when viewed from the side, which isn't ideal for wide seating areas.
- Good reflection handling.
- Fast response time.
- Decent SDR peak brightness.
- Narrow viewing angles.
- Dirty screen effect.
The Vizio M7 Series Quantum 2020 is great for gaming. It has remarkably low input lag to provide a responsive gaming experience and a fast response time to minimize motion blur in fast-moving scenes. Also, it supports variable refresh rate technology to reduce screen tearing. It's well-suited for dark room viewing due to its high contrast ratio, but the local dimming can be a bit distracting as it raises the overall black level.
- Excellent contrast ratio.
- Fast response time.
- VRR support.
- Low input lag.
- Mediocre local dimming.
- Dirty screen effect.
The Vizio M7 Series Quantum 2020 is good for watching movies in HDR. It has a high contrast ratio and an outstanding HDR color gamut to produce a wide range of colors. However, it doesn't really get bright enough to make highlights pop, and the local dimming is mediocre.
- Excellent contrast ratio.
- Outstanding HDR color gamut.
- Can remove 24p judder.
- Decent black uniformity.
- Doesn't get bright enough for HDR.
- Mediocre local dimming.
- Dirty screen effect.
The Vizio M7 Series Quantum 2020 is great for gaming in HDR. It has a fast response time and low input lag, and it supports variable refresh rate technology to help reduce screen tearing. It has an outstanding color gamut to produce a wide range of colors, but its HDR peak brightness is disappointing, so highlights don't stand out the way they should.
- Excellent contrast ratio.
- Fast response time.
- VRR support.
- Low input lag.
- Doesn't get bright enough for HDR.
- Mediocre local dimming.
The Vizio M7 Series Quantum 2020 is a good TV for use as a PC monitor. It supports most common resolutions and can display proper chroma 4:4:4. It has a fast response time and low input lag, and its VA panel is immune to permanent burn-in. The downside is that it has narrow viewing angles, so images can look inaccurate at the sides if you sit too close.
- Good reflection handling.
- Fast response time.
- Low input lag.
- Narrow viewing angles.
Changelog
- Updated Jul 27, 2021: Remeasured the contrast and uploaded the real content local dimming videos.
- Updated Mar 01, 2021: Converted to Test Bench 1.6.
- Updated Dec 22, 2020: We've retested the supported resolutions and inputs with the latest firmware (version 1.10.15.1-2).
- Updated Oct 26, 2020: Review published.
Check Price
Differences Between Sizes And Variants
We tested the 65" Vizio M7 Series Quantum 2020 (M65Q7-H1), and we expect our results to be valid for the 50" (M50Q7-H1) and the 55" (M55Q7-H1) models. It's a variant of the Vizio M8 Series Quantum 2020, which we've also tested. They're very similar overall, but there are some differences, such as the number of local dimming zones and their overall peak brightness. There's a Black Friday variant that's only available at a 70" size, which has slightly reduced features, such as three HDMI ports instead of four. It likely has a different local dimming zone count, though we haven't been able to confirm it. If you come across this model, please let us know in the discussions.
| Size | Model | Black Friday Model | Local Dimming Zones |
|---|---|---|---|
| 50" | M50Q7-H1 | 30 | |
| 55" | M55Q7-H1 | 30 | |
| 65" | M65Q7-H1 | 30 | |
| 70" | M706x-H3 | Unknown |
If someone comes across a different type of panel or if their Vizio M7 Quantum doesn't correspond to our review, let us know, and we'll update the review. Note that some tests, such as gray uniformity, may vary between individual units.
You can see our unit's label here.
Popular TV Comparisons
The Vizio M7 Series is a good TV overall, one of the best in its price range. It performs very similarly to its sibling, the Vizio M8 Series Quantum 2020, but it doesn't get as bright in SDR or HDR, and it has a lower number of local dimming zones. For more options, check out our recommendations for the best TVs under $500, the best TVs, and the best 4k TVs.
The Vizio M7 Series Quantum 2020 and the Vizio M8 Series Quantum 2020 are very similar TVs, as they're variants of the same model. The M7 has a faster response time and better reflection handling. However, the M8 gets brighter in both SDR and HDR, has more local dimming zones, and it doesn't stutter as much in lower frame rate content due to its slower response time.
The Vizio M7 Series Quantum 2020 and the TCL S535 score similarly overall, but there are a few notable differences between them. The Vizio has higher peak brightness, better reflection handling, and supports variable refresh rate technology. The TCL has a higher contrast ratio, better local dimming, and can remove judder from all sources.
The Hisense H8G is marginally better than the Vizio M7 Series Quantum 2020. The Hisense has a better local dimming feature, it gets brighter, and its Android TV platform runs smoother and has more apps. On the other hand, the Vizio has a much better HDR color gamut, and it supports variable refresh rate technology to reduce screen tearing when gaming.
Overall, the Vizio M7 Series Quantum 2020 is significantly better than the Samsung TU8000. The Vizio has a much better color gamut, better gradient handling, a faster response time, and a full-array local dimming feature. It also has better reflection handling and gets brighter. However, the Samsung has a higher contrast ratio, and it doesn't stutter as much in lower frame rate content.
We buy and test dozens of TVs yearly, taking an objective, data-driven approach to deliver results you can trust. Our testing process is complex, with hundreds of individual tests that take over a week to complete. Most of our tests use specially designed test patterns that mimic real content, but we also use the same sources you have at home to ensure our results match the real-world experience. We use two main tools for our testing: a Colorimetry Research CR-100 colorimeter and a CR-250 spectroradiometer.
Test Results
Older Test Bench: This product has been tested using an older TV test methodology, before amajor update. Some of the test results below aren't directly comparable with other TVs. Learn more
for pictures & test results
The Vizio M7 Series Quantum 2020 is a variant of the Vizio M8 Series Quantum 2020, and they look exactly alike. It has a simple design with thin borders on all sides and wide-set feet.
for pictures & test results
The feet are the same as the Vizio M8 Series Quantum 2020's. They're wide-set, so you need a large surface to put it on if you don't plan on wall-mounting it. They support the TV well and don't wobble much.
Footprint of the 65" stand: 50.4" x 11.8"
for pictures & test results
The back is simple and plain. The top portion is metal, while the bottom is plastic. All the inputs are easy to access when wall-mounted. Unfortunately, there's no cable management.
for pictures & test results
The TV is relatively thin and shouldn't stick out much when wall-mounted.
for pictures & test results
The build quality is decent. It's made out of a mix of metal and plastic, and it feels sturdy overall. The only issue is that the plastic near the airflow vents on the back flexes a bit, but otherwise, there aren't any apparent gaps. The stand supports the TV well, and it doesn't wobble much. There are a couple of stuck pixels on our unit; however, your experience may vary.
for pictures & test results
Update 07/27/2021: We updated the TV's firmware to 1.20.18.1-7 and remeasured the contrast. The update slightly improved the contrast with local dimming, but at the same time it slightly decreased the contrast with local dimming disabled. However, neither change is significant, and you likely won't notice any difference.
The Vizio M65Q7-H1 has an excellent native contrast ratio, and the full-array local dimming feature slightly improves the contrast. However, it only improves the contrast after updating the TV to the latest firmware because it actually lowered the contrast with our test pattern on past firmware versions. Note that the contrast ratio can vary between individual units.
The Vizio M65Q7-H1 has decent SDR peak brightness, a bit lower than the Vizio M8 Series Quantum 2020. It's better suited for a dark to moderately-lit room, as it can struggle a bit in bright ones, especially if there's sunlight. Also, the brightness varies a lot depending on the scene.
We measured the SDR peak brightness after calibration in the 'Calibrated Dark' Picture Mode, with Gamma set to '2.2', Active Full-Array set to 'Medium', and Color Temperature set to 'Warm'.
If you don't mind losing image accuracy, you can get a brighter image in the 'Vivid' Picture Mode, with Active Full-Array set to 'High'. We measured a peak of 554 cd/m² in the 10% window using these settings.
for videos & test results
for videos & test results
for videos & test results
Update 07/27/2021: Added the real content local dimming videos.
The Vizio M65Q7-H1 has a mediocre local dimming feature. We recommend using the 'Medium' setting, which is what we used for testing. There's noticeably less blooming than the Vizio M8 Series Quantum 2020, but it's mainly due to how big the lighting zones are. This means that a larger area of the screen is lit, making the overall black level rise and blooming less noticeable. There's still some, although it's more visible when displaying our test pattern than in regular content. Subtitles are dimmed, and the large lighting zones and raised black level make the subtitles less distracting. It crushes blacks, so small highlights like distant stars disappear almost completely. Transitions are slow and visible, as the zones tend to light up too early and are slow to turn off.
for pictures & test results
The Vizio M65Q7-H1 has sub-par HDR peak brightness. Just like in SDR, the brightness varies a lot across different content and gets dimmer as more areas of the screen are lit. It isn't bright enough to deliver a satisfying HDR experience.
We measured the HDR peak brightness before calibration in the 'Calibrated Dark' Picture Mode, with Gamma set to 2.2, Active Full-Array set to 'Medium', and Color Temperature set to 'Warm'.
If you don't mind losing accuracy, you can get a brighter image by setting the Picture Mode to 'Vivid', Gamma to 2.2, Active Full-Array to 'High', Local Contrast to 'High', and Color Temperature to 'Cool'. We measured a peak brightness of 558.2 cd/m² in the 10% window using these settings.
for pictures & test results
for pictures & test results
for pictures & test results
Gray uniformity on our unit of the Vizio M65Q7-H1 is okay. There's a fair amount of dirty screen effect (DSE), which can be distracting when watching sports, wide panning shots, or any scenes that have a large area of uniform color. Uniformity is only slightly better in dark scenes, as the DSE is still visible, and the right side of the screen is brighter than the rest. Note that gray uniformity can vary between individual units.
for pictures & test results
for pictures & test results
Our unit of the Vizio M65Q7-H1 has decent black uniformity. Without local dimming, there's visible clouding and some backlight bleed. With local dimming enabled, uniformity is better, but the blooming is more visible, and it extends all the way to the edges of the screen. Note that black uniformity can vary between individual units.
for videos & test results
for pictures & test results
for pictures & test results
for pictures & test results
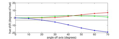
Like most VA panel TVs, the viewing angles are sub-par. Image accuracy degrades as you move off-center, which isn't ideal for large rooms or wide seating areas. If you want a TV with wide viewing angles, check out the Sony X80J.
for pictures & test results
for pictures & test results
for pictures & test results
The Vizio M65Q7-H1's reflection handling is good. It handles bright ambient light well but has more difficulty with direct reflections. It's best to avoid placing the TV opposite a window or bright lights.
for pictures & test results
for pictures & test results
for pictures & test results
Out-of-the-box, the Vizio M65Q7-H1 has decent color accuracy. Most colors are inaccurate to varying degrees, and white balance is visibly off. The color temperature is warmer than our 6500K target, giving the image a reddish tint. Gamma is close to the 2.2 mark for the most part, but both dark and bright scenes are a little brighter than they should be. Note that color accuracy can vary between individual units.
for pictures & test results
for pictures & test results
for pictures & test results
After calibration, the color accuracy is exceptional. The remaining inaccuracies shouldn't be visible to the naked eye. White balance is nearly perfect, and the color temperature is much closer to our target. Gamma is better, but bright scenes are now over-darkened.
You can see our recommended settings here.
for pictures & test results
The Vizio M65Q7-H1's upscaling of 480p content is decent, but it isn't as good as most recent 4k TVs.
for pictures & test results
720p content, such as from cable TV, looks decent; there are no visible artifacts.
for pictures & test results
1080p content, such as from Blu-rays, looks almost as good as 4k.
for pictures & test results
Other than the stuck pixels on our unit, 4k content is displayed perfectly.
for pictures & test results
As mentioned, our unit of the Vizio M7 Series Quantum 2020 has a few stuck pixels near the top of the screen, but we couldn't get a picture of them. This TV uses a BGR sub-pixel structure, which doesn't affect image quality, but it can affect text clarity when using the TV as a PC monitor. You can read more about it here.
for pictures & test results
for pictures & test results
The Vizio M65Q7-H1 has an outstanding HDR color gamut. It has full coverage of the commonly-used DCI P3 color space and great coverage of the wider Rec. 2020. The EOTF follows the PQ curve almost perfectly, but the roll-off is sharp and flat, resulting in some clipping in very bright scenes. The 'Game' mode EOTF is nearly identical, which you can see here.
If you find HDR content too dim, you can make it brighter by setting Gamma to '1.8', Black Detail to 'High', Local Contrast to 'High', Active Full-Array to 'High', and Color Temperature to 'Warm'. These settings result in a brighter image, as you can see in this EOTF.
for pictures & test results
for pictures & test results
Excellent color volume. It only has difficulty displaying bright blues, which is typical for LCDs.
for pictures & test results
The gradient handling is great. There's only a little bit of banding in the greens and grays. Turning on Contour Smoothing removes most if not all of it; however, it can cause a loss of fine details in some scenes.
for pictures & test results
There are no signs of temporary image retention; however, this can vary between individual units.
We don't expect VA panels to experience permanent image retention, as the VA panel in our long-term test appears immune.
for pictures & test results
for pictures & test results
The Vizio M65Q7-H1's response time is good, but it's a bit slow in the 0-20% transition, resulting in some motion smearing in dark scenes. There's a tiny amount of overshoot in the 0-20% and 0-80% transitions; however, it's much better than the Vizio M8 Series Quantum 2020 and shouldn't be noticeable for most people.
for pictures & test results
The Vizio M65Q7-H1's backlight is flicker-free when the TV's brightness is set to max. However, if it's set to anything below maximum, the backlight flickers at 480Hz.
for pictures & test results
for pictures & test results
The Vizio M65Q7-H1 has an optional Black Frame Insertion feature to help reduce motion blur. When enabled, the backlight's flickering frequency is 60Hz, but it can cause slight image duplication due to crosstalk. To use BFI, enable Clear Action.
The Vizio M7 Series Quantum 2020 doesn't have a motion interpolation feature.
Due to the Vizio M65Q7-H1's fast response time, there's some stutter in lower frame rate content.
The Vizio M65Q7-H1 can remove judder from 24p sources or native apps, but not from 60p/60i sources. To remove judder, enable Film Mode.
The Vizio M65Q7-H1 supports variable refresh rate technology to reduce screen tearing when gaming. It's compatible with FreeSync but not NVIDIA's G-SYNC. We aren't sure whether HDMI Forum VRR is working, as the Xbox One we use for testing also supports FreeSync, and there's no way to tell which one is active. The VRR range is advertised as 48-60, but we measured 40fps as the minimum.
The Vizio M7 Series Quantum 2020 has remarkably low input lag. It's higher at 1440p, but it should be fine for games that aren't reaction-based. To get the lowest input lag, set Game Low Latency to 'On'. There's an 'Auto Low Latency Mode' that turns on 'Game' mode when it detects a game launching from a compatible device. To use it, set Game Low Latency to 'Auto'. We can't measure the input lag at 1440p with VRR, as VRR didn't work properly during the input lag test, even though it worked during our VRR test. VRR doesn't work at 1440p on the Xbox One because it's a forced resolution.
Update 12/22/2020: We've updated the firmware to version 1.10.15.1-2 and retested the TV's ability to display a 10-bit 4k @60Hz signal with chroma 4:4:4. The maximum signal that it can display at 10-bit is with chroma 4:2:0.
The Vizio M7 Series Quantum 2020 supports most common resolutions at 60Hz. It accepts a 1080p @ 120Hz signal, but it skips frames. It can display proper chroma 4:4:4 at all supported resolutions; however, we find that it looks a bit fuzzy at 1440p, and it can only display chroma 4:2:0 at 4k @ 60Hz with 10-bit color coding. To use chroma 4:4:4, set your PC to chroma 4:4:4, then set the HDMI Mode to '2.1' and enable Full Color 444 on the TV. These TV settings also unlock the full bandwidth of HDMI 2.0.
for pictures & test results
for pictures & test results
Update 12/22/2020: We've retested the HDMI ports with the latest firmware version 1.10.15.1-2 and an HDMI 2.1 source. All ports are functioning as HDMI 2.0 even though they're advertised as HDMI 2.1.
The Vizio M7 is advertised to have HDMI 2.1 ports; however, there aren't any labels indicating which ports support it, and they're all limited to HDMI 2.0's bandwidth at this time.
The Vizio M Series Quantum 2020 supports eARC, allowing the TV to pass high-quality audio like Dolby Atmos via TrueHD over an HDMI connection. To use it, set eARC to 'On' and Digital Audio Out to 'Digital'. If you're using an optical connection to pass a Dolby Digital or DTS signal, set Digital Audio Out to 'Auto'.
for pictures & test results
The Vizio M65Q7-H1 has a mediocre frequency response, very similar to the Vizio M8 Series Quantum 2020. It's noticeably lacking in bass, so it can't produce a deep, rumbling sound. Dialogues come across clearly, but it doesn't get very loud.
Note: We received reports of audio issues with the Vizio M7 Series Quantum 2020 and the Vizio M8 Series Quantum 2020. Audio seems to cut out during quiet scenes or when there's a pause in sound, such as when scrolling through menus. It also can also make a popping or crackling sound in these situations, as you can see in this video posted on Reddit. It seems to be a problem with the internal speakers, but we've read reports of it continuing with a soundbar as well. We didn't notice this during testing, but if you've experienced the same issue, let us know.
for pictures & test results
The distortion performance is okay. There isn't much distortion when playing at moderate volume levels, but it increases when nearing max volume. It shouldn't be audible to most people, though, as it largely depends on the content.
for pictures & test results
Vizio's SmartCast interface is decent. It's easy to use and runs smoothly for the most part. There are little bugs here and there, but you can resolve them by rebooting the TV.
for pictures & test results
There are ads and suggested content on the home screen. Unfortunately, there's no way to disable or opt-out of them.
for pictures & test results
Like all Vizio TVs, the M7 Series Quantum 2020 comes with a good number of apps already installed; however, you can't add more since Vizio doesn't have an app store.
for pictures & test results
The remote is similar to the Vizio M Series Quantum 2019's, except that it now has a circular navigation pad, and there's a dedicated button for Vizio's 'Watch Free' feature. There's no mic for voice control, but the replacement to this TV, the Vizio M7 Series Quantum 2021, comes with a remote that does.
for pictures & test results
There are four buttons on the right backside of the TV. They allow you to turn the TV On/Off, change the input source, and adjust the volume.
