The LG QNED80 2023 is the entry-level model in LG's QNED lineup, which combines quantum dot technology and LG's proprietary NanoCell technology to display a wider range of colors than most similarly-priced TVs. It replaces the LG QNED80 2022 and sits below the LG QNED85. Available in multiple sizes from 50 to 86 inches, there's something for everyone. It's a basic TV overall but offers many of the same gaming features as higher-end models, like a 120Hz panel, HDMI 2.1 bandwidth, and variable refresh rate (VRR) support.
Our Verdict
The LG QNED80 2023 is a decent TV for mixed usage, but it's best suited for a bright room, as it doesn't look good in a dark room. It's good for watching shows or sports during the day, as it can handle some glare in a moderately-lit room. Its wide viewing angle allows you to walk around the room and still enjoy a consistent image. It has a few nice gaming features, like VRR support and 4k @ 120Hz support on two of its HDMI ports. Sadly, it's not a good choice for watching movies or gaming in a dark room, as it has a very low contrast ratio, and the local dimming feature is terrible.
- Good peak brightness in SDR and decent reflection handling.
- Great gray uniformity.
- Wide viewing angle.
- Low contrast ratio.
- Terrible edge-lit local dimming feature.
- Mediocre sound quality.
The LG QNED80 2023 is good for watching shows during the day. The built-in webOS smart interface has a huge selection of streaming apps, so you can quickly find your favorite shows. It has a wide viewing angle, so you can walk around with the TV on and still enjoy a consistent image. It also has good peak brightness in SDR and decent reflection handling, so it can handle a bit of glare in a bright room. The processing features on this TV are just okay, though, so if you watch a lot of older shows on DVD, they aren't as sharp as they could be.
- Good peak brightness in SDR and decent reflection handling.
- Great gray uniformity.
- Wide viewing angle.
- Mediocre sound quality.
The LG QNED80 2023 is a good TV for watching sports during the day. It has a great response time, so fast motion is clear and easy to see, with minimal blur around the players. Visibility isn't an issue in moderately lit rooms, as it has good peak brightness in SDR and decent reflection handling. It's also great for game day parties, as its wide viewing angle means you won't have to fight over the best seat. The built-in speakers aren't very good, though, so you'll want to pair it with a good soundbar or home theater system.
- Good peak brightness in SDR and decent reflection handling.
- Great gray uniformity.
- Great response time with minimal motion blur.
- Wide viewing angle.
- Mediocre sound quality.
The LG QNED80 2023 is a decent TV for gaming. It has a great response time, so fast motion in games is clear, with minimal blur or ghosting behind fast-moving objects. It also has fantastic low input lag and supports advanced gaming features like VRR. It supports 4k @ 120Hz gaming, but only on its two HDMI 2.1 ports. Sadly, it's not good for gaming in the dark, as it has a low contrast ratio, and the local dimming feature is terrible. The backlight also flickers at a fixed 120Hz in the lowest latency 'Game Optimizer' Picture Mode, which is distracting and causes image duplication when gaming at 60Hz.
- Good peak brightness in SDR and decent reflection handling.
- Great response time with minimal motion blur.
- Low input lag.
- Low contrast ratio.
- Terrible edge-lit local dimming feature.
- Mediocre sound quality.
- Fixed 120Hz flicker (PWM) in the 'Game Optimizer' Picture Mode.
The LG QNED80 2023 is mediocre for watching movies in a dark room. It has a very low contrast ratio, so dark scenes look washed out, and although it has a local dimming feature, it's terrible. It's not very bright in HDR, so bright specular highlights don't stand out. On the other hand, it has a great color gamut, so colors in brighter scenes are vivid and life-like. Overall, HDR is dull and adds very little to this TV.
- Wide color gamut.
- Low contrast ratio.
- Terrible edge-lit local dimming feature.
- Specular highlights don't stand out at all.
- Mediocre sound quality.
The LG QNED80 2023 is decent for gaming in HDR, but almost entirely due to its decent gaming performance, as HDR adds very little. It has low input lag for a responsive gaming experience, a great response time, and it supports advanced gaming features like VRR and 4k @ 120Hz gaming from the latest consoles. It has a low contrast ratio, a terrible local dimming feature, and low peak brightness in HDR, so HDR has no pop, and bright highlights don't stand out. The backlight also flickers at a fixed 120Hz in the lowest latency 'Game Optimizer' Picture Mode, which is distracting and causes image duplication when gaming at 60Hz.
- Wide color gamut.
- Great response time with minimal motion blur.
- Low input lag.
- Low contrast ratio.
- Terrible edge-lit local dimming feature.
- Specular highlights don't stand out at all.
- Mediocre sound quality.
- Fixed 120Hz flicker (PWM) in the 'Game Optimizer' Picture Mode.
The LG QNED80 2023 is a great TV for use as a PC monitor. It has low input lag and a great response time, so cursor movement are smooth and responsive, with minimal motion blur. Chroma 4:4:4 signals are displayed properly, which is essential for clear text from a PC. It has great uniformity, and thanks to its wide viewing angle, the sides of the screen remain uniform even if you're sitting close to the TV. It also has decent reflection handling and good peak brightness, so glare isn't an issue in a moderately-lit room.
- Great gray uniformity.
- Chroma 4:4:4 is displayed properly for clear text.
- Great response time with minimal motion blur.
- Low input lag.
- Wide viewing angle.
- Mediocre sound quality.
Changelog
-
Updated Nov 12, 2024:
Mentioned the newly-reviewed LG QNED85T in the SDR Brightness section.
- Updated Aug 21, 2024: Mentioned the newly-reviewed Hisense 75U8N in the HDR Brightness section of this review.
- Updated May 16, 2024: Mentioned the newly-reviewed Samsung Q60D QLED in the Contrast section of this review.Mentioned the newly-reviewed Samsung Q60D QLED in the Contrast section of this review.
- Updated Sep 21, 2023: Review published.
Check Price
Differences Between Sizes And Variants
We bought and tested the 65-inch LG QNED80 2023, and the results are also valid for the 55 and 75-inch models. The 50-inch version uses a VA-type panel, which has much better contrast but a worse viewing angle, and the 86-inch model is direct-lit and has better speakers. The exact model code varies between regions and retailers, but unlike the LG QNED80 2022, Costco carries the same version as other retailers.
In Europe, it's known as the LG QNED81 2023, which offers the same performance overall but with a center-mounted stand.
| Size | Panel | Backlighting | North America | Europe |
| 50" | VA | Edge | 50QNED80URA | 50QNED816RA |
| 55" | IPS | Edge | 55QNED80URA | 55QNED816RA |
| 65" | IPS | Edge | 65QNED80URA | 65QNED816RA |
|
75" |
IPS | Edge | 75QNED80URA | 75QNED816RA |
| 86" | IPS | Direct | 86QNED80URA | 86QNED816RA |
Our unit was manufactured in July 2023; you can see the label here.
Popular TV Comparisons
The LG QNED80 2023 is a decent TV with a good selection of gaming features, but it's only suitable for moderately-lit or bright rooms. It doesn't look good in a dark room, so it's not as versatile as most other mid-range TVs like the Hisense U8/U8K or the TCL Q7/Q750G QLED. Overall, it doesn't perform well for the price and isn't worth buying.
See our recommendations for the best TVs for bright rooms, the best smart TVs, and the best 65-inch TVs.
The LG QNED85 is far better than the LG QNED80 2023. The QNED85 has a decent local dimming feature, while the QNED80 doesn't, giving the former substantially more impressive contrast; it's not even close. The QNED85 is also a bit brighter overall and is much more accurate in HDR. The QNED80 is close on other aspects of performance, but ultimately, it can't overcome that massive gap in contrast.
The Sony X85K is better than the LG QNED80 2023. While the Sony doesn't have local dimming, it still has much better contrast than the LG. The Sony is also a bit brighter than the LG TV and has better reflection handling, so it's also the better product for bright rooms. The LG does have a much wider viewing angle, so it's a slightly better option if you are primarily buying a TV to host sports-watching parties, but otherwise, the Sony has it beat in most ways.
The Samsung Q70C is better than the LG QNED80 2023. The Samsung has a higher native contrast ratio, so it looks better in dark rooms, with deeper blacks and better black uniformity. The Samsung also gets brighter, and HDR content looks better in general.
The LG QNED80 2023 is nearly identical to its predecessor, the LG QNED80 2022. The 2023 model is slightly brighter and supports DTS audio formats, so it's a better choice overall, but the differences are extremely minor.
The LG QNED80 2023 has the Samsung Q60C beat in most areas, but it has a massive weakness: its terrible contrast. While the LG has a local dimming feature, and it does somewhat improve the TV's contrast ratio, the overall viewing experience with it enabled is much worse due to the extremely noticeable blooming and lighting zone transitions. The Samsung model doesn't have local dimming, but its native contrast ratio is much better than the LG TV's, making it the superior choice for dark rooms. Otherwise, the LG is slightly more upscale than the Samsung, with a much wider viewing angle, better image processing, a faster response time, and 4k @ 120Hz support on two HDMI ports for gamers.
The TCL Q750G is significantly better than the LG QNED80 2023. The TCL has a much higher native contrast ratio, and it looks much better in dark rooms, with deeper blacks and very little blooming around bright areas of the screen. The TCL is also a lot brighter, and HDR content looks better.
The Hisense U7K is vastly superior to the LG QNED80 2023. The LG does have a much wider viewing angle than the Hisense, but otherwise, it's outperformed in every facet. In particular, the LG has a terrible contrast ratio with a truly poor local dimming solution, so it can't compete with the Hisense in a dark room. In bright rooms, the Hisense is brighter in HDR and SDR and has much better reflection handling. Finally, the Hisense is also better for gamers due to its slightly faster response time and two 4k @ 144Hz ports, while the LG is limited to 4k @ 120Hz on two of its ports.
The Samsung Q80C is better than the LG QNED80 2023. The Samsung TV doesn't have the best local dimming solution around, as it's only mediocre overall, but it's vastly superior to the LG TV's terrible solution. This makes the Samsung model far better for watching movies in dark rooms. The Samsung is also slightly brighter than the LG, which makes it superior for bright rooms. The LG is, however, more accurate in SDR and has the better screen uniformity of the two, although these are affected by panel variance, so your mileage may vary. The Samsung is also better for gamers due to having four 4k @ 120Hz HDMI ports, while the LG is limited to two 4k @ 120Hz ports.
The Hisense U7H is better than the LG QNED80 2023. The Hisense looks much better in a dark room thanks to its much higher contrast ratio, much better black uniformity, and effective local dimming feature. The U7H gets significantly brighter in HDR and SDR, so highlights pop more with HDR content and the TV overcomes glare better with SDR content in a bright room.
The LG QNED80 2023 is better than the LG UQ8000. The LG QNED80 2023 has a much higher SDR peak brightness, so it overcomes glare better in a bright room. The LG QNED80 2023 also gets brighter in HDR, supports a wide color gamut, and has better color volume, so HDR content is more vibrant and lifelike, and highlights pop more than on the UQ8000. The LG QNED80 2023 also has HDMI 2.1 bandwidth, a faster response time, VRR support, and 4k @ 120Hz, so it’s the better choice to pair with modern gaming consoles.
The Hisense U8K is significantly better than the LG QNED80 2023. The Hisense looks much better in a dark room thanks to its higher native contrast ratio and highly effective Mini LED local dimming feature. This also lets the Hisense get significantly brighter, especially when displaying HDR content, and HDR looks much better overall.
The LG QNED80 2023 and the Sony X80K/X80CK are similar TVs, but the LG has the edge over the Sony in most aspects. They both have equally terrible contrast, but the LG is a bit brighter in HDR and SDR, and has better black uniformity than the Sony, so the LG looks better in dark and bright rooms. They trade blows when it comes to image processing, as the Sony has better sharpness processing when upscaling and less banding in HDR color gradients, while the LG has much better low-quality content smoothing. The LG is, however, much better for gamers, as it has a slightly faster response time to go with its 4k @ 120Hz capabilities, with a matching VRR range.

We buy and test dozens of TVs yearly, taking an objective, data-driven approach to deliver results you can trust. Our testing process is complex, with hundreds of individual tests that take over a week to complete. Most of our tests are done with specially designed test patterns that mimic real content, but we also use the same sources you have at home to ensure our results match the real-world experience. We use two main tools for our testing: a Colorimetry Research CR-100 colorimeter and a CR-250 spectroradiometer.
Test Results

As part of our two-year test, which has so far subjected 100 TVs to over 10,000 hours of accelerated testing, we found that edge-lit TVs like this one have significant durability issues. These issues range from warped reflector sheets and cracked light guide plates to completely burnt-out LEDs. You can read the full results of our investigation here.
The stand consists of two V-shaped feet that hold the TV well. The feet lift the screen about 3.2" above the cabinet, so most soundbars fit without blocking the screen. There's also a narrow position for the feet (shown here) if you have a smaller TV stand.
Footprint of the 65" TV:
- Wide position: 46" x 11.7"
- Narrow position: 16.6" x 11.7"
The back of the TV features consists of a single large plastic panel. The inputs face to the left of the TV and are set into the TV, so they're hard to reach with the TV wall-mounted. LG has given a lot of thought to cable management on this TV, as there are multiple mounting points for the included clips, so it's easy to keep a neat setup behind the TV.
The LG QNED80 2023 has decent build quality. The feet are sturdy and support the TV well, allowing for just a bit of wobble. The back is all plastic, and there's noticeable flex throughout, but this is common and won't cause any issues. Overall, the materials used are a bit cheap, and there's more plastic than the LG QNED80 2022, but there are no obvious issues or problems with quality control.
The LG QNED80 2023 has terrible contrast. Blacks look gray and washed out, and dim scenes lack shadow detail. There's a local dimming feature that's designed to improve contrast, but it's terrible, and we recommend you turn it off.
Here's what the same scene looks like with local dimming set to 'High'. Enabling local dimming improves the contrast ratio to 3416:1 in simple scenes like this one, but the overall viewing experience is much worse.
If you want a similar TV overall with better contrast, check out the Samsung Q60D QLED.
With local dimming set to 'Off', there's no blooming, as the entire backlight is always on at the same intensity. Here is what the same scene looks like with local dimming set to 'High'. Again, it slightly improves the contrast, but at the expense of severe blooming in almost all scenes.
With local dimming set to 'Off', there are no zone transitions, as the entire backlight is always on. For comparison, here's what lighting zone transitions look like with local dimming set to 'High'; there's severe blooming, although it does make contrast a bit better.
The contrast and dark details look the same in Game Mode with local dimming disabled. The image and videos above are with local dimming set to 'Off', but here's what the contrast in Game Mode looks like with local dimming set to 'High':
The LG QNED80 2023 has just okay peak brightness in HDR. Bright specular highlights in HDR content don't stand out, and HDR generally looks flat and dull.
These measurements are after calibrating the HDR white point with the following settings:
- HDR Select Mode: Cinema
- Panel Brightness: 100
- Adjust Contrast: 100
- Color Temperature: Warm 50
- LED Local Dimming: Off
Enabling local dimming significantly increases the peak brightness of smaller highlights, but the overall picture quality is worse, and there's distracting blooming around bright highlights. Here are photos and measurements of the TV's HDR Brightness with local dimming set to 'High':
- Hallway Lights: 399 cd/m²
- Yellow Skyscraper: 374 cd/m²
- Landscape Pool: 177 cd/m²
- Peak 2% Window: 596 cd/m²
- Peak 10% Window: 654 cd/m²
- Peak 25% Window: 548 cd/m²
- Peak 50% Window: 497 cd/m²
- Peak 100% Window: 482 cd/m²
- Sustained 2% Window: 592 cd/m²
- Sustained 10% Window: 481 cd/m²
- Sustained 25% Window: 481 cd/m²
- Sustained 50% Window: 482 cd/m²
- Sustained 100% Window: 482 cd/m²
Check out the Hisense 75U8N if you want a TV with much better HDR brightness.
Switching to the 'Game Optimizer' HDR Select Mode makes no noticeable difference to the peak brightness. HDR in games is still flat and dull overall, and bright highlights don't stand out.
The PQ EOTF tracking on the LG QNED80 2023 is decent overall. Shadow details are raised significantly and look washed out; this has more to do with its low contrast ratio than its HDR processing. Midtones are slightly dimmer than they should be.
Content mastered at 600 and 1000 nits hard clips when the TV reaches its peak brightness, leading to a loss of bright detail, although this TV doesn't show any truly bright detail anyway as it's just simply not bright enough. For content mastered at 4000 nits, there's a smoother roll-off, and fine details are preserved.
The graph above is with local dimming set to 'Off'; here's what the PQ EOTF tracking looks like with local dimming set to 'High'. It's significantly more accurate than with local dimming disabled, but unfortunately, it comes at the expense of massive blooming and distracting lighting zone transitions.
The LG QNED80 2023 has good peak brightness in SDR. It's bright enough to overcome a bit of glare in a moderately lit or even a bright room.
These measurements are after calibration with the following settings:
- Picture Mode: Expert (Dark Space, Night)
- Panel Brightness: 100
- Color Temperature: Warm 50
- LED Local Dimming: Off
- Adjust Contrast: 80
With local dimming set to 'High', it gets a bit brighter, especially when displaying small, bright highlights:
- Real Scene Peak Brightness: 390 cd/m²
- Peak 2% Window: 261 cd/m²
- Peak 10% Window: 617 cd/m²
- Peak 25% Window: 554 cd/m²
- Peak 50% Window: 452 cd/m²
- Peak 100% Window: 396 cd/m²
- Sustained 2% Window: 261 cd/m²
- Sustained 10% Window: 613 cd/m²
- Sustained 25% Window: 392 cd/m²
- Sustained 50% Window: 395 cd/m²
- Sustained 100% Window: 395 cd/m²
For better SDR brightness, take a look at the LG QNED85T.
The LG QNED80 2023 has a great color gamut in HDR. Unfortunately, the tone mapping is bad when sent a 75% stimulus, which corresponds to content mastered at 1,000 nits, so most HDR content is inaccurate. In dimmer scenes, the TV performs much better:
The color volume is just okay. It's mainly limited by its low contrast, as it can't display dark saturated colors well.
With a few quick setting changes out of the box, the LG QNED80 2023 has great accuracy. Bright shades of gray are a bit off, but not noticeably so, and gamma is close to the 2.2 target. Color accuracy is excellent, with no noticeable issues, and the color temperature is nearly perfect.
This TV is very easy to calibrate, and the results after calibration are nearly perfect, with no noticeable issues at all.
You can see the full calibration settings we used here.
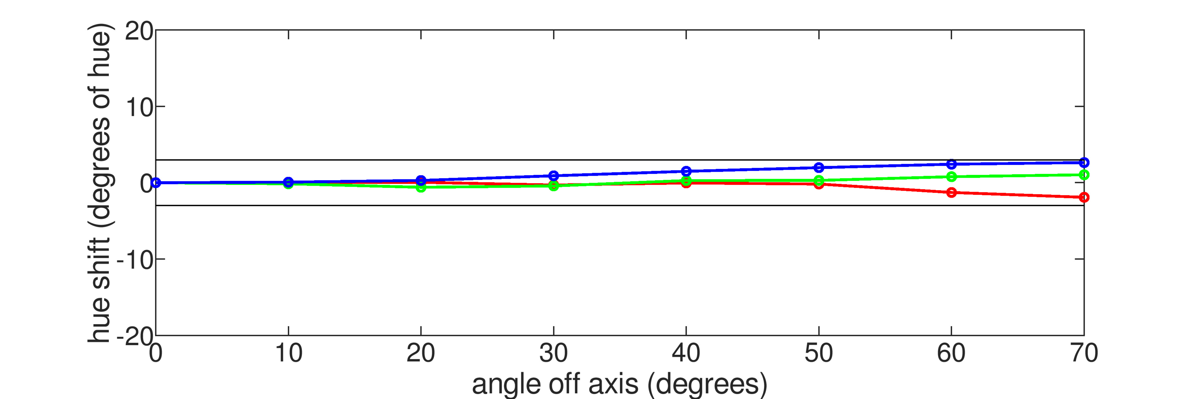
The LG QNED80 2023 has great gray uniformity. The sides of the screen are slightly darker than the center, but it's not noticeable. There's very little dirty screen effect in the center. Near-black scenes look excellent, with no noticeable issues.
The black uniformity of this TV is just okay. There's noticeable clouding throughout the screen and a few bright spots along the bottom edge. Enabling the local dimming feature makes the black uniformity significantly worse, as the very limited number of zones can't effectively dim the screen around bright highlights.
The TV has mediocre HDR gradient handling. There's a lot of banding in bright greens and some minor banding in darker shades.
This TV uses an IPS panel with an RGB subpixel layout, which is great for PC users as Windows ClearType handles RGB quite well. You can read more about text clarity here.
The LG QNED80 2023 uses pulse width modulation (PWM) to dim its backlight at all brightness levels. The flicker depends on your picture mode, and you can see the differences below. The 120Hz flicker is noticeable and causes a double image with 60 fps signals, like when you're gaming, as it flickers at 120Hz in Game Mode.
Picture modes with 480Hz flicker:
- Expert (Dark space, night)
- Expert (Bright space, daytime)
- Cinema
- FILMMAKER MODE
Picture modes with 120Hz flicker:
- Vivid
- Standard
- APS
- Sports
- Game Optimizer
- All HDR modes
There's an optional backlight strobing feature, commonly known as black frame insertion, which you can enable to improve the appearance of motion. It can only flicker at both 60 or 120Hz, ensuring smooth motion and no double image.
Due to the quick response time, there's some noticeable stutter when watching low frame-rate content like movies. It's especially noticeable in slow panning shots or wide landscape shots.
This TV removes judder from any source, including 60Hz sources like cable boxes. For a smooth movie-watching experience, enable the Real Cinema setting.
The LG QNED80 2023 supports variable refresh rate technology to reduce screen tearing. It supports all three VRR formats across the TV's entire refresh rate range.
The input lag is incredibly low, ensuring a responsive gaming or desktop experience. It's a bit slower than the LG QNED80 2022 and the latest high-end LG TVs like the LG G3 OLED, but still low enough for most users.
The LG QNED80 2023 supports all signals up to 4k @ 120Hz, but only on HDMI ports 3 and 4. It also displays chroma 4:4:4 properly with any signal, which is essential for clear text from a PC. HDMI ports 1 and 2 are limited to HDMI 2.0 bandwidth, so you can't use it for 4k @ 120Hz signals with chroma 4:4:4 and 10-bit color depth.
The TV doesn't support Dolby Vision, so you're limited to watching HDR content in the basic HDR10 format. One of the HDMI 2.1 bandwidth ports also serves as the eARC port, meaning you can only have one HDMI 2.1 device connected if you have a soundbar or receiver.
This TV supports a plethora of audio formats, which is great. It supports DTS audio formats, which is great if you like to watch DVDs or Blu-rays, as they tend to use DTS for their main audio tracks.
Unfortunately, the LG QNED80 2023 has a mediocre frequency response. Music sounds muddled, there's audible distortion, and everything sounds mixed together, making it hard to understand dialogue or specific sounds in the mix. Like most TVs, there's very little bass, but it's even worse than usual on this TV. There's an automatic room correction feature, but it actually made the sound worse, so it was disabled for our testing.
Even at moderate volume levels, this TV's distortion performance is poor, and at max volume, it's terrible. While it's less noticeable in real content versus isolated tone patterns, music sounds thin and muddled.
As is now, unfortunately, typical, there are ads throughout the smart interface, and you can't fully disable them. You can limit ad tracking and remove ads from the home screen using the 'Home Promotion' and 'Content Recommendation' settings in the 'Home Settings' menu, but there's no way to remove ads from the apps page.
The LG QNED80 2023 comes with LG's Magic Remote. You can use it as a pointer, making it easier to navigate the menus if you prefer that approach instead of using the remote's buttons. The remote also has an integrated microphone, which works well. You can use voice commands to ask the TV to open specific apps, search within apps, ask for the time, or ask for the weather.






















































