The Dell S2725QS is a budget-friendly work monitor. It has a 27-inch, 4k IPS screen, and it's part of the Dell Plus Series lineup, sitting alongside the Dell S3225QS and behind the Dell S2725QC, which has a USB hub that this monitor doesn't have. It upgrades in a few ways from the older Dell S2721QS, like its 120Hz refresh rate and HDMI 2.1 bandwidth, giving it some gaming features for when you aren't working. Besides that, it comes with an ergonomic stand and built-in speakers, but like many entry-level monitors, it's limited in extra perks otherwise.
Our Verdict
The Dell S2725QS is mediocre for PC gaming. While it has some gaming features, like a 120Hz refresh rate and HDMI 2.1 bandwidth, it has limited gaming performance because it has blurry motion with fast-moving objects. It also has disappointing picture quality as blacks look gray, it doesn't display a very wide color gamut in HDR, and highlights don't pop. On the plus side, it has low input lag for a responsive feel at any refresh rate while gaming.
Low input lag.
120Hz refresh rate.
4k resolution for detailed and sharp images.
Motion is blurry at any refresh rate.
Blacks look gray due to low contrast.
HDR looks
muted without highlights that pop.
The Dell S2725QS is decent for console gaming. It supports most signals with a PS5, PS5 Pro, or Xbox Series X|S, including 4k @ 120Hz, thanks to its HDMI 2.1 bandwidth. It has low input lag for a responsive feel, too, but with a slow response time, there's distracting blur in fast-moving games. It also fails to deliver an impactful HDR experience because of its low contrast ratio, which makes blacks look gray, and highlights don't pop, either.
Low input lag.
120Hz refresh rate.
4k resolution for detailed and sharp images.
Supports most signals from consoles.
Motion is blurry at any refresh rate.
Blacks look gray due to low contrast.
HDR looks
muted without highlights that pop.
The Dell S2725QS is impressive for office use. Its 4k resolution helps deliver sharp text, and its 27-inch screen is big enough for multitasking with two windows next to each other. It comes with an ergonomic stand that's easy to adjust, but the stand doesn't keep the screen stable, so it has some wobble. It has limited extra features, too, as it lacks a USB hub. While it gets bright enough to fight glare in most well-lit rooms, reflections are distracting in sunny environments.
4k resolution for detailed and sharp images.
Ergonomic stand.
Bright enough to fight some glare.
No USB hub.
Wobbles easily on stand.
Reflections are distracting in sunny rooms.
The Dell S2725QS is very good for editing. It comes with a very accurate sRGB mode, and calibrating it only fine-tunes some minor issues. However, it has limited picture quality otherwise, as blacks look gray, highlights don't pop, and it fails to display a very wide range of colors in HDR. It doesn't have many productivity features, either, as it lacks a USB hub, but it comes with an ergonomic stand, and its 4k resolution helps deliver detailed images.
4k resolution for detailed and sharp images.
Bright enough to fight some glare.
Very accurate sRGB mode that needs minimal calibration.
Blacks look gray due to low contrast.
HDR looks
muted without highlights that pop.
No USB hub.
The Dell S2725QS has decent brightness. It gets bright enough to fight glare in most well-lit rooms, but visibility is an issue in sunny environments. It also fails to make highlights pop in HDR.
Bright enough to fight some glare.
HDR looks
muted without highlights that pop.
The Dell S2725QS has a poor response time, as motion looks blurry at any refresh rate.
Motion is blurry at any refresh rate.
The Dell S2725QS has poor HDR picture quality. It has a low contrast ratio that makes blacks look gray, and it lacks a local dimming feature to further improve the contrast ratio. It also has a limited color gamut in HDR, so content looks dull.
Blacks look gray due to low contrast.
The Dell S2725QS has decent SDR picture quality. It displays a wide range of colors, but its biggest downside is that blacks look gray due to its low contrast ratio.
Displays wide range of colors.
Blacks look gray due to low contrast.
The Dell S2725QS has amazing color accuracy. It comes with a very accurate sRGB mode, but you still need to calibrate it for the best accuracy because it has gamma and white balance issues.
Very accurate sRGB mode that needs minimal calibration.
Performance Usages
Changelog
-
Updated Feb 02, 2026:
We clarified that this monitor sits above the Dell S2725DC, which has a lower resolution.
- Updated Nov 10, 2025: We've converted this review to Test Bench 2.1.1. We removed the Vertical Viewing Angle test.
- Updated Sep 30, 2025: Review published.
- Updated Sep 25, 2025: Early access published.
Check Price
Differences Between Sizes And Variants
We bought and tested the 27-inch Dell S2725QS, which is the only size available, and the results are only valid for this model. You can see differences with other Dell Plus 4k monitors below, but these are different monitors that perform differently.
| Model | Size | Panel Type | Connectivity |
|---|---|---|---|
| S2725QS | 27" | IPS |
2x HDMI 2.1 1x DP 1.4 |
| S2725QC | 27" | IPS | 2x HDMI 2.1 1x USB-C DP Alt Mode 1x USB-C, 2x USB-A Downstream |
| S3225QS | 32" | VA | 2x HDMI 2.1 1x DP 1.4 |
Our unit's label indicates it was manufactured in January 2025. We tested it with firmware M3B101.
Popular Monitor Comparisons
The Dell S2725QS is a budget-friendly 27-inch monitor geared towards productivity. As the entry-level 4k model in Dell's Plus Series lineup, it's rather barebones in terms of features, as it doesn't have a USB hub like the higher-end Dell S2725QC. That said, it's a nice upgrade over the older Dell S2721QS as it includes perks for gaming, like its 120Hz refresh rate and HDMI 2.1 bandwidth, so it's versatile enough for gaming when you aren't working. It even performs well for a low-cost monitor with accurate colors and great brightness, but naturally, it doesn't have the same premium HDR picture quality as higher-end models. It also costs less than the bigger Dell S3225QS, so if you want a 27-inch, 4k monitor for work without many features and you're on a budget, you can't go wrong with this monitor.
Also see our recommendations for the best work monitors, the best 27-inch monitors, and the best budget and cheap monitors.
The Dell S2725QC sits above the Dell S2725QS in the Dell Plus Series lineup. They're both 4k, 27-inch monitors that are very similar, but the main difference is that the S2725QC comes with a USB hub, which the S2725QS doesn't have. There are some differences in performance, though, as the S2725QS gets a bit brighter, displays a slightly wider range of colors, and is a bit more accurate out-of-the-box, but these differences are hard to tell in person.
The Dell U2725QE is a higher-end monitor than the Dell S2725QS. The U2725QE has a ton more features because of this, including a massive USB hub that includes a KVM switch and Thunderbolt 4 support, while the S2725QS doesn't have any USB ports. The U2725QE also gets brighter and has a better contrast ratio because of its IPS Black panel, but blacks still look gray. While the U2725QE displays a wider color gamut, the S2725QS is still more accurate out of the box, so it's easier to properly calibrate it.
The Dell S2725QS is an updated version of the Dell S2721QS, and upgrades in a few areas. The main difference is that the S2725QS has a higher 120Hz refresh rate and HDMI 2.1 bandwidth that makes it a better choice for gaming. The S2725QS also comes with a dedicated sRGB mode, which the S2721QS doesn't have, so colors are more accurate out of the box on the S2725QS.
The Dell S2722QC and the Dell S2725QS are both entry-level 4k monitors released in different years. The main differences between them come down to their inputs, as the S2722QC has a USB-C port with DisplayPort Alt Mode, so you can connect and charge your laptop with one cable, which is something the S2725QS doesn't have. That said, the Dell S2725QS has HDMI 2.1 ports and a higher 120Hz refresh rate, so it's the better choice for console gaming, as it supports 4k signals up to 120Hz. The S2725QS also has an sRGB mode with better accuracy than the S2722QC, which lacks an sRGB mode.
We buy and test more than 30 monitors each year, with units that we buy completely on our own, without any cherry-picked units or samples. We put a lot into each unbiased, straight-to-the-point review, and there's a whole process from purchasing to publishing, involving multiple teams and people. We do more than just use the monitor for a week; we use specialized and custom tools to measure various aspects with objective data-based results. We also consider multiple factors before making any recommendations, including the monitor's cost, its performance against the competition, and whether or not it's easy to find.
Test Results
The Dell S2725QS has a simple design that's almost exactly like the Dell S2725QC. It's mainly white with some black accents throughout.
The build quality is alright. There aren't any obvious issues, and the plastic doesn't bend or flex easily. However, it feels cheap regardless, and the monitor wobbles easily. While the ergonomic adjustments are easy to perform, they don't always stay in place, so you may need to readjust them again to your preferred position.
The ergonomics are incredible. It offers any type of common adjustment, but at times, the monitor doesn't stay in place once you adjust it. This is especially true for rotating it into a portrait orientation, as it can be difficult to make it even on an uneven desk. The stand also includes a rigid plastic clip for cable management and a cover to hide the inputs, which are set into the back of the monitor.
The stand is basic and doesn't hold the screen very well. It wobbles easily and takes a bit of time to stabilize again.
As the stand is tilted, the total thickness from the screen to the back of the stand changes depending on the height you have it set to. The results are with the monitor at its minimum height adjustment, and the thickness at the max height is 5.5 inches (14.0 cm). While the plastic clip is rigid, it doesn't extend past the top of the stand, so this doesn't make a difference if you want to put the monitor against a wall.
The weight measurement doesn't include the plastic input cover.
The Dell S2725QS has a mediocre contrast ratio. Blacks look gray against bright highlights, and it lacks a local dimming feature to improve this.
Though this monitor doesn't have local dimming, we still film these videos so you can compare the backlight performance with a monitor that has local dimming.
Settings
- Preset Mode: Custom Color (after calibration)
- Brightness: Max
The SDR brightness is great. It gets bright enough to fight glare in most well-lit rooms, but still struggles in sunny environments. Luckily, it maintains consistent brightness across different content.
Settings
- Smart HDR: Desktop
- Brightness: Locked to max
The HDR brightness is alright. While it gets bright enough to fight some glare, highlights don't pop for an impactful HDR experience. It also has inaccurate PQ EOTF tracking, with raised blacks in dark scenes and a slow roll-off. So, it's tone mapping before your source does, limiting how bright highlights get.
This monitor has great gray uniformity. Although there's vignetting in the corners, the rest of the screen is uniform. This vignetting is still noticeable with 5% gray.
The black uniformity is mediocre. There's noticeable clouding throughout, along with raised blacks.
The accuracy before calibration in the sRGB mode is amazing. It locks colors well to the sRGB color space, but primary colors are still slightly oversaturated. Regardless, any inaccuracies to the white balance and colors aren't noticeable, and the color temperature is almost spot-on with the 6500K target. Even the gamma tracking is nearly perfect, although most scenes are slightly darker than intended.
Using the sRGB mode also locks the Hue, Saturation, Gain, and Offset settings, with the latter two only being available in the 'Custom Color' Preset Mode. 'Custom Color' also locks colors well to the sRGB color space, but some colors are still oversaturated, and gamma is worse.
The accuracy after calibration is remarkable. Calibrating it fine-tunes any errors and gives you access to settings that are locked out in the sRGB mode.
This monitor has an incredible SDR color gamut. It covers all of the sRGB color space used in most content. It has more limited coverage of the Adobe RGB color space used in professional publishing, including undersaturated greens and slightly oversaturated reds, but it's still decent in this color space.
The Dell S2725QS has a decent HDR color gamut. It displays a good range of colors in the DCI-P3 color space, but not all of it, and it struggles a lot more with the Rec. 2020 color space. Interestingly, it covers a wider color gamut than the Dell S2725QC, but it's still not enough for an impactful HDR experience.
The HDR color volume is okay. It fails to properly display dark and bright colors well, so HDR content looks muted.
The Dell S2725QS has a great horizontal viewing angle. The image remains consistent up to wide angles, so it's a good choice for sharing your screen with someone sitting next to you. That said, certain colors, like red, wash out, which is concerning if you're a content creator.
The Dell S2725QS has fantastic text clarity. Using Windows ClearType (top photo) makes letters bolder and easier to read. These photos are in Windows 10, and you can also see them in Windows 11 with ClearType on and with ClearType off.
The direct reflection handling is alright. Although its matte coating spreads light out, it still has mirror-like reflections that can get distracting in a sunny room.
The monitor maintains consistent black levels in a bright room, but because of its low contrast ratio, blacks still look gray.
This monitor spreads light out across the screen and still reflects a lot off the display, so visibility is a problem in sunny rooms.
The Dell S2725QS has superb gradient handling, with minimal banding between shades of similar colors.
You can reach the max refresh rate as long as your computer supports HDMI 2.1 and DisplayPort 1.4 bandwidth. However, your graphics card needs to use Display Stream Compression for 10-bit connections over DisplayPort.
NVIDIA - G-SYNC Compatibility
Connection
VRR Min
VRR Max
DisplayPort
<20Hz
120Hz
HDMI
<20Hz
120Hz
AMD - FreeSync
Connection
VRR Min
VRR Max
DisplayPort
<20Hz
120Hz
HDMI
<20Hz
120Hz
This monitor also supports HDMI Forum VRR.
The Dell S2725QS has poor motion handling across its VRR range. There's noticeable and distracting blur with fast-moving objects at any refresh rate. Although the 'Normal' Response Time setting is the most consistent, it still performs poorly, and the other overdrive settings are worse. The 'Fast' and 'Extreme' settings have such high CAD that they pass the limits of the chart, which you can see in an alternative graph.
The refresh rate compliance is terrible. The response time isn't fast enough to make full color transitions before the monitor draws the next frame at any refresh rate.
The CAD at the max refresh rate of 120Hz is poor. Motion is blurry with any of the Response Time settings. Using VRR doesn't impact the motion handling of the 'Fast' and 'Extreme' overdrive settings, but disabling it with 'Normal' results in better motion than with it on. That said, even with VRR off, the response time is still slow.
The CAD at 120Hz is poor. Motion is blurry with any of the Response Time settings. Using VRR doesn't impact the motion handling of the 'Fast' and 'Extreme' overdrive settings, which have significant inverse ghosting, but disabling VRR with 'Normal' results in better motion than with it on. That said, even with VRR off, the response time is still slow.
The CAD at 60Hz is bad. There's distracting blur in fast-moving content with any of the overdrive settings. Unlike at 120Hz, using VRR doesn't have a significant impact on motion handling.
This monitor doesn't have an optional backlight strobing feature to reduce persistence blur.
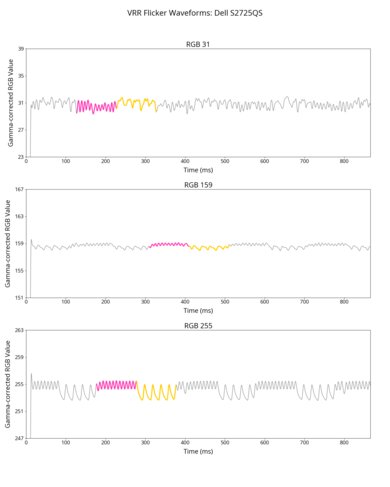
This monitor has just a bit of VRR flicker in dark scenes and the brightest areas of bright scenes, which you don't see in the video. That said, it's not distracting, and it's hard to see unless you're looking for it.
Although the backlight is flicker-free and doesn't use pulse-width modulation, there's still a slight dip in the brightness. This is uncommon for IPS monitors, but it isn't noticeable.
The Dell S2725QS has low input lag for a responsive feel at any refresh rate.
The monitor supports any signal up to 4k @ 120Hz with a PS5 and PS5 Pro. There aren't any settings you need to enable from the monitor's OSD to get the best compatibility.
The monitor works well with an Xbox Series X|S. However, it doesn't support 1440p @ 120Hz at all, even with various settings or when enabling the console's HDMI override setting. There aren't any settings you need to enable from the monitor's OSD to get the best compatibility.
As this monitor lacks an audio port, you can't easily connect speakers or headphones directly to the monitor.
If you want a budget-friendly work monitor with a USB hub, look into the Dell S2725DC.
Tested with: M2 MacBook Pro (Sequoia 15.6.1)
| Connection | HDMI 2.1 | USB-C to DisplayPort |
|---|---|---|
| Max Refresh Rate | 120Hz | 120Hz |
| VRR Range | 48-120Hz | 48-120Hz |
| HDR | Yes | Yes |
There aren't any issues when using this monitor with a Mac computer. If you're using a MacBook, the 'Desktop' Smart HDR Mode looks closest to the laptop's display, but it has a warmer color temperature, and HDR looks undersaturated compared to SDR. You can close the MacBook's lid and continue using the monitor, even if the laptop isn't plugged into power, and windows return to their original positions when reopening the lid or waking the MacBook up from sleep.
The built-in speakers sound good for monitor speakers, and there are different Audio Profile modes to choose from, including a 'Custom Audio' mode for EQ tuning. Other features include:
- Aspect Ratio: Allows you to switch between 16:9 and 4:3 aspect ratios.
- Dark Stabilizer: Adjusts the black level so that it's easier to see opponents in dark scenes.
- ComfortView Plus: Although not a setting, it's advertised to reduce blue light by default.
- Custom Color Preset Mode: Includes 2-point white balance and RGBCMY Hue and Saturation settings for calibration.
- Shortcut Key Personalization: Lets you assign shortcuts to the joystick on the back of the monitor.


