The ASUS ROG Swift OLED PG27UCDM is a high-end gaming monitor. It's one of the first to come out with a 4k, 240Hz 27-inch QD-OLED panel, competing with other models that use the same panel, like the MSI MPG 272URX QD-OLED, the Dell Alienware AW2725Q, and the Samsung Odyssey OLED G81SF S27FG810S. It's a higher-end model than the ASUS ROG Strix OLED XG27UCDMG, which lacks some features that the PG27UCDM has, like DisplayPort 2.1 with 80Gbps bandwidth, and it's smaller than the ASUS ROG Swift OLED PG32UCDM. This monitor has other gaming features, like support for all common VRR formats, and different crosshairs and vision modes. Plus, it has a few customizable settings in HDR, Dolby Vision support, a USB hub that includes a KVM switch, and a Neo Proximity Sensor that detects when you're away from the screen to turn it off, reducing the risk of burn-in.

We buy and test more than 30 monitors each year, with units that we buy completely on our own, without any cherry-picked units or samples. We put a lot into each unbiased, straight-to-the-point review, and there's a whole process from purchasing to publishing, involving multiple teams and people. We do more than just use the monitor for a week; we use specialized and custom tools to measure various aspects with objective data-based results. We also consider multiple factors before making any recommendations, including the monitor's cost, its performance against the competition, and whether or not it's easy to find.
Our Verdict
The ASUS PG27UCDM is fantastic for PC gaming. Motion looks sharp at any refresh rate, it has low input lag for a responsive feel, and it supports all common VRR formats. Plus, you can reach its max 240Hz refresh rate without using compression thanks to its DisplayPort 2.1 bandwidth. One downside is that it has noticeable VRR flicker with changing frame rates, and its anti-flicker feature doesn't fix this. On the plus side, it delivers remarkable picture quality with deep blacks in dark rooms, bright highlights, and vivid colors.
240Hz refresh rate with VRR support.
HDMI and DisplayPort 2.1 bandwidth.
Incredibly sharp motion.
Low input lag.
Deep and inky blacks in dark rooms.
Displays wide range of vivid colors.
Noticeable VRR flicker.
Ambient light raises the black levels and desaturates dark colors.
The ASUS PG27UCDM is incredible for console gaming. It supports any signal up to 4k @ 120Hz with the PS5, PS5 Pro, and Xbox Series X|S thanks to its HDMI 2.1 bandwidth, and it supports VRR with any console. Motion looks sharp, and even though its input lag at 60Hz is slightly higher than other monitors, gaming still feels responsive. Colors also look vivid thanks to its amazing color volume, and blacks are deep and inky in dark rooms. Plus, its high pixel density delivers sharp and detailed images.
Incredibly sharp motion.
Low input lag.
Deep and inky blacks in dark rooms.
Displays wide range of vivid colors.
Supports 4k up to 120Hz on consoles.
Ambient light raises the black levels and desaturates dark colors.
The ASUS PG27UCDM is great for work, with some limitations. With a 4k, 27-inch screen, it has high pixel density with fantastic text clarity, and it has minimal fringing. It also gets bright enough to fight glare in most well-lit rooms and has great reflection handling, so visibility isn't an issue, but the black levels rise in bright rooms. It even has some useful productivity features, like a USB hub with a KVM switch and an ergonomic stand. However, OLEDs like this risk burn-in with constant exposure to the same static elements over time. So if you want to use it for work, it's better to vary your content when you aren't working to reduce this risk.
Incredibly sharp text.
Bright enough to fight glare in most rooms.
USB hub with KVM switch.
Great reflection handling.
Some fringing around windows.
Risk of burn-in.
Ambient light raises the black levels and desaturates dark colors.
The ASUS PG27UCDM is remarkable for content editing. It delivers incredible picture quality with deep and inky blacks in dark rooms and no blooming around bright objects. It also displays a wide range of vivid colors and comes with a very accurate sRGB mode. Even calibrating it doesn't offer much difference from the sRGB mode. The monitor's 4k resolution also makes text and images look sharp, and it gets bright enough to fight glare for use in most well-lit rooms, but the black levels rise in bright rooms. However, the biggest drawback is the risk of burn-in with constant exposure to the same static elements over time, but this is less of a concern if you vary the content on the screen.
Deep and inky blacks in dark rooms.
Displays wide range of vivid colors.
Bright enough to fight glare in most rooms.
USB hub with KVM switch.
Fantastic accuracy in sRGB mode.
Small highlights stand out in HDR.
Some fringing around windows.
Risk of burn-in.
Calibrating doesn't provide much.
Ambient light raises the black levels and desaturates dark colors.
The ASUS PG27UCDM has decent brightness. It gets bright enough to fight glare in most well-lit rooms, and small highlights pop in HDR. However, it can't sustain this high brightness with larger highlights.
Bright enough to fight glare in most rooms.
Small highlights stand out in HDR.
Larger highlights are dimmer.
The ASUS PG27UCDM has a near-instant response time for extremely sharp motion.
Incredibly sharp motion.
The ASUS PG27UCDM has remarkable HDR picture quality. It displays deep and inky blacks in dark rooms without any blooming, and colors are vivid.
Deep and inky blacks in dark rooms.
Displays wide range of vivid colors.
The ASUS PG27UCDM has outstanding SDR picture quality. It has a near-infinite contrast ratio with deep blacks in dark rooms, and it displays a wide range of colors.
Deep and inky blacks in dark rooms.
Displays wide range of vivid colors.
The ASUS PG27UCDM has fantastic color accuracy. Its dedicated sRGB mode is very accurate before calibration, and calibrating it doesn't benefit much unless you want access to settings that are locked out in the sRGB mode.
Fantastic accuracy in sRGB mode.
Calibrating doesn't provide much.
Performance Usages
Changelog
- Updated Nov 10, 2025: We've converted this review to Test Bench 2.1.1. We removed the Vertical Viewing Angle test.
-
Updated Sep 05, 2025:
Clarified that this monitor competes with the MSI MPG 272URX QD-OLED.
-
Updated Jun 23, 2025:
We retested the Color Accuracy (Post-Calibration) and SDR Color Gamut using the Racing Mode, which has slightly better performance than the previous User GameVisual Mode.
-
Updated Jun 13, 2025:
We updated text throughout to match the new and updated tests with Test Bench 2.1, including in the Verdict section.
Check Price
Differences Between Sizes And Variants
We tested the 27-inch ASUS ROG Swift OLED PG27UCDM, which is the only size available, and the results are only valid for this model. Although the ASUS ROG Swift OLED PG32UCDM is a larger QD-OLED with many of the same specs, it's a different monitor. The ASUS ROG Strix OLED XG27UCDMG is also a similar QD-OLED, but it's lower-end in the ASUS gaming lineup and a different model.
| Name | Size | Pixel Type | Max Refresh Rate | Native Resolution | Inputs |
|---|---|---|---|---|---|
| ROG Swift PG27UCDM | 27" | QD-OLED | 240Hz | 4k |
1x DP 2.1 2x HDMI 2.1 1x USB-C |
| ROG Strix XG27UCDMG | 27" | QD-OLED | 240Hz | 4k | 1x DP 1.4 2x HDMI 2.1 1x USB-C |
Our unit's label indicates it was manufactured in January 2025. We tested it with firmware MCM101.
Popular Monitor Comparisons
The ASUS ROG Swift OLED PG27UCDM is a premium gaming monitor. It's one of the first 4k, 240Hz QD-OLEDs to come out with a 27-inch screen, directly competing with other models with the same screen specs, like the Dell Alienware AW2725Q and the Samsung Odyssey G81SF. It's part of a saturated market of high-refresh-rate QD-OLED gaming monitors that perform similarly, competing against larger models, like the Gigabyte AORUS FO32U2P, and 27-inch, 1440p monitors with a 360Hz refresh rate, like the ASUS ROG Strix OLED XG27ACDNG. However, there are a few things that set it apart, like its Dolby Vision support and the fact that it has the highest pixel density amongst these QD-OLEDs, resulting in very sharp text and detailed images. Its DisplayPort 2.1 bandwidth port is also useful as it doesn't need compression to reach its max refresh rate with compatible graphics cards. That said, deciding whether or not to buy depends on your size preference, and whether you can find it for cheaper than competing models, like the Dell Alienware AW2725Q.
See our recommendations for the best OLED monitors, the best HDR gaming monitors, and the best ASUS monitors.
The ASUS ROG Swift OLED PG32UCDM and the ASUS ROG Swift OLED PG27UCDM are both 4k, 240Hz QD-OLED gaming monitors. They're very similar, with one difference being their size, and while that's a personal preference, the higher pixel density on the PG27UCDM results in sharper text clarity. Another advantage of the P27UCDM is that it supports DisplayPort 2.1 bandwidth, so you can reach the max refresh rate without compression with compatible graphics cards. The PG27UCDM also has slightly lower input lag for a more responsive feel.
The ASUS ROG Swift OLED PG27UCDM and the MSI MPG 272URX QD-OLED are competing 4k, 240Hz QD-OLED monitors. While they perform similarly for the most part, the ASUS has a few advantages in terms of features. The ASUS supports Dolby Vision, which is useful if you have a source that uses Dolby Vision, like an Xbox. The ASUS also does a better job at minimizing glare and gets brighter, so it's the better choice for a well-lit room.
The ASUS ROG Strix OLED XG27ACDNG and the ASUS ROG Swift OLED PG27UCDM are both QD-OLED gaming monitors. They're different in a few ways, though, as the PG27UCDM has a higher 4k resolution for sharper images and text, while the higher 360Hz refresh rate on the XG27ACDNG delivers a smoother feel. While they have many of the same features, the PG27UCDM has a few extra perks, like a DisplayPort 2.1 input and Dolby Vision support, so choosing between the two also depends on if you want these features.
The ASUS ROG Swift OLED PG27UCDM and the Samsung Odyssey OLED G81SF S27FG810S are 27-inch 4k QD-OLED gaming monitors. Unlike the ASUS the Samsung has a matte screen finish, so you may want to choose based on your preferred screen finish. That said, the ASUS is a better option if you plan to use it for productivity as well as work, as it has a KVM switch and delivers 90W of power over USB-C.
Test Results

The ASUS PG27UCDM has a gaming-oriented and premium design. It comes with a tripod stand that's typical for ROG Swift monitors, and it features down-facing lighting. There's more lighting on the back and the stand. The panel casing itself is thin metal, while the housing for the inputs and internal electronics is plastic. There are also vents in the back of the monitor.
The build quality is fantastic. There aren't any noticeable issues, and the materials feel premium, but there's still some very minor creaking when you press onto the plastic housing. It doesn't have much wobble when you knock it or when it's on an unstable desk, and there isn't any noticeable fan or coil whine noise either.
The ergonomics are excellent. You can adjust it in a number of ways, which is great if you often readjust your monitor. It moves on the stand smoothly and stays in place well. It also has a cutout in the stand for basic cable management.
The ASUS PG27UCDM has a near-infinite contrast ratio in a dark room. Blacks are deep and inky next to bright highlights. However, the black levels rise in a bright room, as they look purple. We used the methods from our new TV Test Bench 2.0 to measure the contrast at different luminance levels of a bright light directly facing the screen:
- Contrast at 100 lx: 736:1
- Contrast at 400 lx: 194:1
- Contrast at 1000 lx: 81:1
The ASUS PG27UCDM doesn't have a backlight, so it doesn't require a local dimming feature. However, with a near-infinite contrast ratio, there isn't any blooming around bright objects, and it's the equivalent of a perfect local dimming feature. We still film these videos on the monitor so you can see how the screen performs and compare it with a monitor that has local dimming.
Settings
- GameVisual: User Mode (after calibration)
- Display Color Space: Wide Gamut
- Uniform Brightness: Off
- Brightness: 100
- OLED Care: All settings off
The SDR brightness is good. It gets bright enough to fight glare as long as you don't enable Uniform Brightness. While there are some changes in brightness between different content, it isn't too aggressive. If it bothers you, then it's better to enable Uniform Brightness. However, that limits the Real Scene brightness to 255 cd/m² with most test windows at around 245 cd/m².
Settings
- HDR Setting: Console HDR
- HDR Format: HDR10
- Adjustable HDR: On
- Dynamic Brightness Boost: Off
- Uniform Brightness: Off
- Brightness: 100
- OLED Care: All settings off
The HDR brightness is okay. Like most OLEDs, it gets the brightest with small highlights, but it can't maintain this high brightness with larger highlights. That said, it still gets bright enough in content to fight glare in most well-lit rooms. It also has accurate PQ EOTF tracking, but because it has a slow roll-off before cutting off at its peak, it doesn't let all highlights get the brightest they could.
We also measured the brightness and EOTF with Dynamic Brightness Boost enabled, and again in the 'DisplayHDR 400 True Black' mode, with the results below.
The gray uniformity is remarkable. It maintains a uniform color throughout, which is fantastic for working with full-screen webpages or editing content. That said, like any OLED, there are thin gray vertical lines in dark scenes, but you won't notice them unless you look for them.
The accuracy before calibration is incredible. The 'sRGB Cal Mode' GameVisual locks colors well to the sRGB color space and has minimal color accuracy and white balance issues, but it isn't perfect. It's also close to the target 6500K color temperature and has good gamma tracking, but most scenes are either slightly too dark or bright.
Using the 'sRGB Cal Mode' locks a few settings, which you can see below, but other modes with more configurable settings have worse accuracy.
- All Color settings
- Shadow Boost
- Uniform Brightness
- Contrast
- Blue Light Filter
- ELMB
- Aspect Control
The accuracy after calibration is excellent. The main benefit of calibrating it is if you want access to the settings that are locked out in the 'sRGB Cal Mode.' That said, by calibrating it in the 'Racing Mode' GameVisual mode with Display Color Space on 'Wide Gamut,' colors are still oversaturated compared to the 'sRGB Cal Mode.' It may be better to use the sRGB mode if you work in that color space. The 'User' GameVisual mode has slightly less accurate gamma tracking than the 'Racing Mode' after calibration, though slightly better white balance.
The ASUS PG27UCDM has a fantastic SDR color gamut. It displays the full range of colors in the sRGB color space and a wide range in Adobe RGB. Although green is inaccurate in Adobe RGB, you may be able to avoid this issue with a color-managed app.
The HDR color gamut is remarkable. It displays a wide range of colors in the common DCI-P3 color space, and even though some are oversaturated, there are minimal inaccuracies. Colors are accurate in the Rec. 2020 color space, too, but it doesn't display all the colors needed.
The ASUS PG27UCDM has an amazing HDR color volume. It displays bright and dark colors very well in the DCI-P3 color space, and while not all colors are vivid in the Rec. 2020 color space, it's still excellent. Keep in mind that colors desaturate with ambient light in a bright room.
The horizontal viewing angle is remarkable. Although it technically isn't perfect, you won't see any inconsistencies when viewing from the sides or if you sit close to the screen.
The text clarity is fantastic. It's better than 32-inch, 4k QD-OLEDs, like the ASUS ROG Swift OLED PG32UCDM, and while it has typical issues for QD-OLEDs, like fringing, they're hard to see. Plus, using Windows ClearType (top photo) helps make text look sharper. These photos are in Windows 10, and you can also see them in Windows 11 with ClearType on and with ClearType off.
This monitor handles direct reflections well. With a glossy coating, light bounces off the screen like a mirror, but the screen still absorbs most light, so glare isn't distracting.
The black levels rise in a bright room, making them look purple, which is a typical downside of QD-OLEDs. This is mainly because it lacks a polarizer, and you need to use it in a dark room to get perfect black levels.
You can reach the monitor's max refresh rate without any compression over DisplayPort if your graphics card also supports DisplayPort 2.1 bandwidth with UHBR20 speeds. However, you need to use DSC to reach the max refresh rate over HDMI. The monitor has a DSC Support setting that you can disable, which lowers the refresh rate over HDMI.
NVIDIA - G-SYNC Compatibility
Connection
VRR Min
VRR Max
DisplayPort
<20Hz
240Hz
HDMI
<20Hz
240Hz
AMD - FreeSync
Connection
VRR Min
VRR Max
DisplayPort
<20Hz
240Hz
HDMI
<20Hz
240Hz
On top of supporting FreeSync VRR and G-SYNC compatibility, the ASUS ROG Swift PG27UCDM also supports HDMI Forum VRR.
The ASUS PG27UCDM has outstanding motion handling across its VRR range. CAD remains low throughout, and the only blur you see is persistence.
The refresh rate compliance is incredible. Its response time is fast enough to make full-color transitions before the monitor draws the next frame.
The ASUS ROG Swift PG27UCDM has a black frame insertion feature, and the setting for it is called ELMB. While it helps reduce persistence blur, it's limited in how you can use it, as it only works with fixed 120Hz signals.
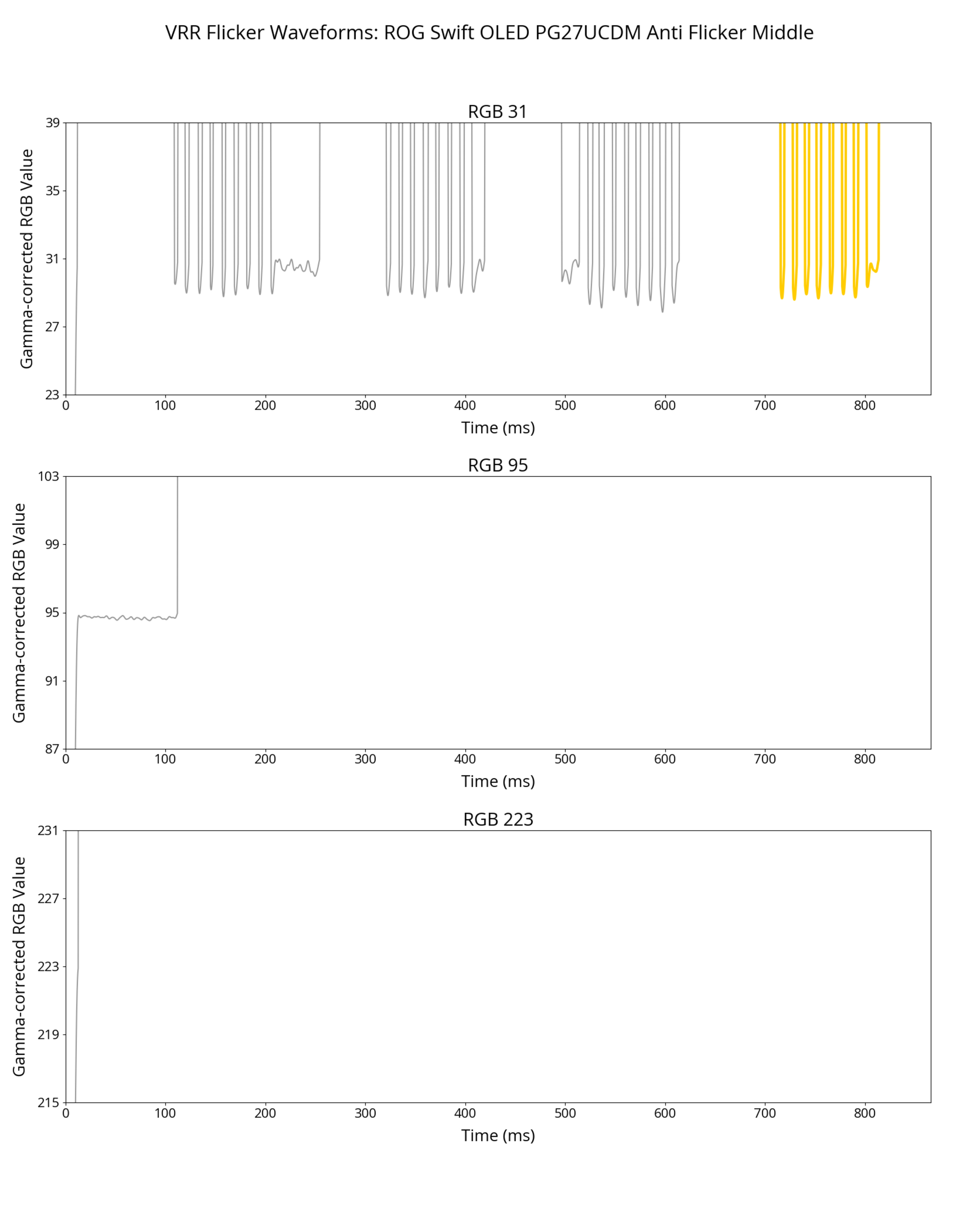
Unfortunately, this monitor has distracting VRR flicker with changing frame rates. It's most noticeable in dark scenes, but it isn't as bad in bright scenes. While it has an OLED Anti-Flicker setting to try to fix this, it isn't effective at reducing flicker at all, as you can see below. Note that the flicker is so bad with OLED Anti-Flicker that it passes the limits of our charts.
The input lag is very low for a responsive feel. Although the input lag at 60Hz is slightly higher than expected, it still feels responsive.
There aren't any compatibility issues with an Xbox Series X|S, and Dolby Vision works, as long as you have it enabled in the monitor's OSD. Since the Xbox doesn't support HDR with 1080p or 1440p signals, this isn't a limitation of the monitor.
The USB-C port allows you to connect a laptop to display an image from it and charge it with one cable.
Connection
HDMI 2.0
HDMI 2.1
USB-C
Max Refresh Rate
60Hz
240Hz
M1: 120Hz
M2-M4: 240Hz
VRR Range
N/A
48-240Hz
M1: 48-120Hz
M2-M4: 48-240Hz
HDR
Yes
Yes
Yes
This monitor works well with macOS. If you're using a USB-C connection with an M2 or newer device, you need to set Type-C Bandwidth to 'USB 2.0' in the monitor's OSD to get the max 240Hz refresh rate, as it's limited to 120Hz on 'USB 3.2.' If you're using a MacBook, you can continue working on the screen after closing the lid when using a USB-C connection. However, over HDMI, the MacBook goes to sleep when you close the lid. Whether you use HDMI or USB-C, windows migrate to their original positions when reopening the lid.
The ASUS PG27UCDM has a bunch of features, some of which you can read about below:
- Aspect Ratio Control: You can use this setting to change the aspect ratio, including decreasing the image size to simulate a 24.5-inch size or 4:3 aspect ratio.
- Adjustable HDR: Allows you to customize more color settings in HDR.
- Blue Light Filter: Reduces blue light to help reduce eye strain.
- Dynamic Shadow Boost: Adjusts the black level so that you can see opponents better in dark scenes.
- GamePlus: Includes different gaming features like an FPS counter, crosshairs, sniper mode, stopwatch, and timer.
- Lighting Effect: Controls the RGB lighting on the back of the monitor and on the stand.
- Neo Proximity Sensor: Turns the display off if it detects you are away from the monitor.
Like most OLED displays, there are also a few settings to help reduce the risk of burn-in, which you can find in the OLED Care section of the OSD:
- Adjust Logo Brightness: Dims static elements that are on the screen, like taskbars or if you're watching TV. This includes options like Logo Detection, Taskbar Detection, and Boundary Detection.
- Pixel Cleaning: This feature helps fix any burn-in issues that may occur. It happens after you turn off the screen and takes about six minutes to finish. There's also a setting to remind you to turn off the monitor so it can perform the cycle.
- Screen Move: Moves the image by a few pixels to one side to help reduce the risk of burn-in. You can also turn it off altogether.
- Screen Saver: Includes other settings that dims parts of the screen to reduce the risk of burn-in, like Screen Dimming Control, Outer Dimming Control, and Global Dimming Control.
You can also control the monitor's settings through the downloadable DisplayWidget Center program. You can learn more about the available settings from the user manual.

































































