The Samsung G81SF is a premium 4k, 240Hz QD-OLED gaming monitor. It competes against several other 27-inch 4k QD-OLEDs, such as the ASUS ROG Swift OLED PG27UCDM, the Dell Alienware AW2725Q, and the MSI MPG 272URX QD-OLED. It's quite similar to the larger 32-inch G81SF version of this monitor, though it lacks the Tizen OS and remote found in the older Samsung Odyssey OLED G80SD S32DG80. Like other Samsung QD-OLED monitors, it has a matte screen and features you'd expect to see on a gaming monitor, like HDMI 2.1 bandwidth and VRR support, including a 'VRR Control' function to reduce VRR flicker. It also has gaming features such as a virtual crosshair overlay and adjustable LED lighting.
Our Verdict
The Samsung G81SF is superb for gaming. Its 240Hz refresh rate and very low input lag create a responsive feel. Games also look very sharp with its 4k resolution, and its superb response time makes fast-moving objects look crisp. Additionally, it has outstanding image quality, as it displays deep blacks in a dark room, vivid colors, and small highlights that pop. However, it has distracting VRR flicker if VRR Control is off, and deep blacks appear purple in bright rooms.
Very crisp motion.
240Hz refresh rate with VRR support.
Low input lag at any refresh rate.
Deep and inky blacks in dark rooms.
Displays a wide range of vivid colors.
Detailed Image.
Deep blacks look purple in a bright room.
Distracting VRR flicker with changing frame rates.
The Samsung G81SF is outstanding for console gaming. It supports all console features, including VRR, and it has a 4k resolution for sharp images. It also has crisp motion handling and very low input lag for a responsive feel. Additionally, it has fantastic picture quality, with small highlights that pop, vivid colors, and deep blacks in a dark room. However, in bright rooms deep blacks look purple.
Very crisp motion.
Low input lag at any refresh rate.
Deep and inky blacks in dark rooms.
Displays a wide range of vivid colors.
Works well with the PS5, PS5 Pro, and Xbox Series X|S consoles.
Detailed Image.
Deep blacks look purple in a bright room.
The Samsung G81SF is impressive for work, with a few caveats. It displays sharp text because of its 4k resolution, and it's easy to adjust because of its fantastic ergonomics. However, despite having amazing reflection handling, it doesn't get bright enough to overcome strong glare. Additionally, there's a risk of permanent burn-in if you always display static elements like taskbars in the same place on your screen.
Very sharp text.
Fantastic ergonomics.
Amazing reflection handling.
Not bright enough to fight strong glare.
Risk of burn-in.
The Samsung G81SF is fantastic for editing. It's particularly good for editing HDR content, as it displays deep blacks in a dark room, has vivid colors, and makes small highlights pop. Its 4k resolution also ensures sharp text and detailed images. Additionally, it's quite accurate before calibration, though most parts of scenes aren't as bright as they should be. Finally, there's a risk of burn-in if the same static elements are always in the same place on your screen.
Deep and inky blacks in dark rooms.
Displays a wide range of vivid colors.
Very sharp text.
Accurate before calibration.
Small highlights pop in HDR.
Detailed Image.
Amazing reflection handling.
Deep blacks look purple in a bright room.
Not bright enough to fight strong glare.
Risk of burn-in.
Most parts of scenes are dimmer than they should be.
The Samsung G81SF is bright enough for you to easily see it in a well-lit room, though it's not bright enough to overcome glare in bright rooms. Additionally, while small highlights pop, larger highlights are more muted.
Small highlights pop in HDR.
Not bright enough to fight strong glare.
Larger highlights more muted.
The Samsung G81SF has a near-instantaneous response time for extremely sharp motion.
Very crisp motion.
The Samsung G81SF has superb picture quality. It displays a wide range of colors quite vividly, as well as deep blacks in a dark room. However, in a bright room, black levels rise and deep blacks appear purple.
Deep and inky blacks in dark rooms.
Displays a wide range of vivid colors.
Deep blacks look purple in a bright room.
The Samsung G81SF has incredible SDR picture quality. It displays a wide range of colors and displays deep blacks in dark rooms.
Deep and inky blacks in dark rooms.
Displays a wide range of vivid colors.
The Samsung G81SF has superb color accuracy. It has excellent accuracy before calibration and amazing gray uniformity, and it's exceptionally accurate after calibration. However, most parts of scenes aren't as bright as they should be in SDR.
Accurate before calibration.
Uniform screen.
Most parts of scenes are dimmer than they should be.
Performance Usages
Changelog
- Updated Nov 10, 2025: We've converted this review to Test Bench 2.1.1. We removed the Vertical Viewing Angle test.
-
Updated Sep 18, 2025:
We clarified that the monitor's matte coating is aggressive and a bit more hazy than other matte displays.
-
Updated Sep 05, 2025:
Clarified that this monitor competes with the MSI MPG 272URX QD-OLED.
- Updated Jul 11, 2025: Review published.
Check Price
Differences Between Sizes And Variants
We tested the Samsung G81SF, though the full model code may vary between regions. It's also available in a larger 32-inch size at Best Buy in the US, though that model has a different panel, so the results are only valid for this monitor. You can see how this monitor compares to some of the other QD-OLEDs in Samsung's Odyssey gaming lineup.
| Name | Size | Max Refresh Rate | Native Resolution | Matte Finish | Tizen OS |
|---|---|---|---|---|---|
| G81SF (27") | 27" | 240Hz | 4k | Yes | No |
| G81SF (32") | 32" | 240Hz | 4k | Yes | No |
| G60SF | 27" | 500Hz | 1440p | Yes | No |
| G60SD | 27" | 360Hz | 1440p | Yes | No |
| G80SD | 32" | 240Hz | 4k | Yes | Yes |
Our unit's label indicates it was manufactured in February 2025. We tested it with firmware M-F8100GCAA-1000.1.
Popular Monitor Comparisons
The Samsung G81SF is a premium 4k, 240Hz QD-OLED gaming monitor. It's ideally suited to those who prefer something smaller than a 32-inch monitor, have a very powerful graphics card, and play a lot of immersive games. It's very similar in performance to its 27-inch 4k QD-OLED peers, like the Dell Alienware AW2725Q and the ASUS ROG Swift OLED PG27UCDM, with vivid colors and outstanding motion handling.
The Samsung has a matte screen, so it's an ideal choice if you prefer this type of screen coating. That said, if you prefer a glossy screen, another QD-OLED like the Dell or the ASUS is a better choice for you. If you don't have a strong preference on screen finish, then you may want to get whichever 4k QD-OLED is cheapest, given how similarly they all perform. Also, if you don't need the high detail of a 4k monitor, you can save some money and experience a higher frame rate by choosing a 1440p QD-OLED, like the 360Hz ASUS ROG Strix OLED XG27ACDNG.
See our recommendations for the best OLED monitors, the best HDR gaming monitors, and the best 27-inch gaming monitors.
The Samsung Odyssey OLED G80SD S32DG80 and the Samsung Odyssey OLED G81SF S27FG810S are 4k QD-OLED gaming monitors. The biggest difference between the two is their size, as the G81SF has a smaller 27-inch display, and the G80SD has a larger 32-inch screen. Otherwise, they both have very similar performance, though the G80SD does have an integrated smart OS and remote, which you may prefer if you plan to use your monitor like a TV.
The ASUS ROG Swift OLED PG27UCDM and the Samsung Odyssey OLED G81SF S27FG810S are 27-inch 4k QD-OLED gaming monitors. Unlike the ASUS the Samsung has a matte screen finish, so you may want to choose based on your preferred screen finish. That said, the ASUS is a better option if you plan to use it for productivity as well as work, as it has a KVM switch and delivers 90W of power over USB-C.
The Dell Alienware AW2725Q and the Samsung Odyssey OLED G81SF S27FG810S are 27-inch 4k QD-OLED gaming monitors. Both models are extremely similar, apart from their screen finish. The Samsung has a matte screen, while the Dell has a glossy screen, so you may want to choose between them based on whichever type of finish you prefer. Otherwise, given their similarities, you may want to get whichever costs less.
The Samsung Odyssey OLED G60SD S27DG602S and the Samsung Odyssey OLED G81SF S27FG810S are both 27-inch QD-OLED gaming monitors. The G81SF is a better option for immersive gamers, as it has a higher resolution and displays a more detailed image. However, the G60SD is a better option for competitive gamers, as its lower resolution allows it to maintain a higher frame rate, and it has a higher maximum refresh rate.
We buy and test more than 30 monitors each year, with units that we buy completely on our own, without any cherry-picked units or samples. We put a lot into each unbiased, straight-to-the-point review, and there's a whole process from purchasing to publishing, involving multiple teams and people. We do more than just use the monitor for a week; we use specialized and custom tools to measure various aspects with objective data-based results. We also consider multiple factors before making any recommendations, including the monitor's cost, its performance against the competition, and whether or not it's easy to find.
Test Results
The Samsung Odyssey OLED G8 G81SF has a straightforward appearance, with black and silver plastic and a metal base. It fits in well to both a gaming and office environment, though its LED lighting on the back shows its gamer focus.
The build quality is excellent. The plastics don't have much flex, though there's a slight creak when swiveling the monitor. The vertical part of the stand and the monitor housing feel solid and have a smooth finish, while the base of the monitor is slightly more textured.
The ergonomics are fantastic. You can make any common adjustment with it, and most adjustments offer a very wide range of movement. However, it doesn't offer as wide a swivel range as some monitors. It also has a loop in the stand for cable management.
The stand holds the monitor well. The monitor doesn't wobble much when bumped, and afterward it recovers quickly.
The 0.5-inch (1.2 cm) bezel measurement includes the monitor's physical bezels, which are 1.1 cm, as well as 0.1 cm of extra pixels that allow the monitor to move the image to help prevent burn-in.
The Samsung Odyssey OLED G81SF has a joystick on the back of the monitor to adjust the on-screen settings and turn the monitor on and off.
- HDMI cable
- DisplayPort cable
- Power cable and supply
- Documentation
The Samsung Odyssey G81SF has near-infinite contrast in dark rooms, resulting in deep, inky blacks next to bright highlights.
The Samsung G81SF doesn't have a backlight, so it doesn't require a local dimming feature. However, with a near-infinite contrast ratio, there isn't any blooming around bright objects, and it's the equivalent of a perfect local dimming feature. We still film these videos on the monitor so you can see how the screen performs and compare it with a monitor that has local dimming.
Settings
- Picture Mode: Graphic (after calibration)
- Brightness: Max
- Color Space: Native
- Color Tone: Warm1
The SDR brightness is fair. At most window sizes, it maintains its brightness well, though if most of your screen is displaying very bright content, the whole screen dims. While it's bright enough to be easily seen in a well-lit room, it isn't bright enough to overcome glare in bright environments. Additionally, this monitor has a high minimum brightness, which you might find distracting if you're using it in a very dark room.
Settings
- Picture Mode: Graphic
- Brightness: Max
- Peak Brightness: High
- Contrast Enhancer: Off
- HDR Tone Mapping: Static
The HDR brightness is adequate. While it gets bright enough for small highlights to pop, larger highlights don't. It follows the PQ EOTF curve well until it gets near peak brightness, where it has a slow roll-off. This prevents highlights from getting as bright as possible, but it helps preserve bright details.
It has several different HDR picture modes. The 'Graphic', 'Eco', and 'Original' modes all have the same EOTF performance and color accuracy. These modes use the 'Warm 1' Color Tone, while other HDR modes use the 'Cool' or 'Standard' settings.
The peak brightness is much higher when Peak Brightness is set to 'High', which is why we chose it over 'Medium', despite 'Medium' having better EOTF tracking. You can see the monitor's brightness when it's set to 'Medium' or 'Off' below:
| Test | Peak Brightness: Medium | Peak Brightness: Off |
|---|---|---|
| Real Scene | 394 cd/m² | 378 cd/m² |
| Peak 2% Window | 529 cd/m² | 462 cd/m² |
| Peak 10% Window | 466 cd/m² | 461 cd/m² |
| Peak 25% Window | 365 cd/m² | 370 cd/m² |
| Peak 50% Window | 263 cd/m² | 286 cd/m² |
| Peak 100% Window | 197 cd/m² | 196 cd/m² |
| Sustained 2% Window | 525 cd/m² | 460 cd/m² |
| Sustained 10% Window | 465 cd/m² | 460 cd/m² |
| Sustained 25% Window | 353 cd/m² | 366 cd/m² |
| Sustained 50% Window | 255 cd/m² | 272 cd/m² |
| Sustained 100% Window | 195 cd/m² | 195 cd/m² |
The gray uniformity is excellent, and the entire screen has quite uniform brightness. This monitor also has good 5% gray uniformity.
The monitor has perfect black uniformity and displays an even black level throughout.
The accuracy before calibration is excellent when Color Space Settings is set to 'Auto'. While this isn't a dedicated sRGB mode, the setting clamps the gamut to the sRGB space quite effectively, and the monitor has great white balance, color accuracy, and color temperature. However, gamma doesn't follow the sRGB curve very well, as dark parts of scenes are too dark, and the other parts of scenes are too bright. No settings are locked out when using Color Space Settings in 'Auto.'
The accuracy after calibration is superb, and you won't notice any inaccuracies.
The SDR color gamut is superb. It displays all colors in sRGB and most colors in Adobe RGB. While some colors are inaccurate in Adobe RGB, you may be able to avoid this issue with a color-managed app.
The HDR color gamut is incredible. It displays the full range of colors in DCI-P3 and a wide range of colors in Rec. 2020 and does so accurately.
The HDR color volume is amazing. It displays bright and dark colors very well in dark rooms, resulting in vivid images. However, dark colors desaturate fairly quickly in bright rooms.
The horizontal viewing angle is remarkable. Although it technically isn't perfect, you won't see any inconsistencies when viewing at a wide angle.
The text clarity is superb. Although it has a small amount of fringing around edges or letters with ClearType on (top photo), it's very hard to see in person, and text looks as sharp as a 27-inch, 4k LCD display. It also has an aggressive matte coating, so there's a bit more haziness with text than other matte monitors. These photos are in Windows 10, and you can also see them in Windows 11 with ClearType on and with ClearType off.
The reflection handling is incredible. The matte coating absorbs light extremely well, so there aren't any mirror-like reflections.
The black levels are poor in a bright room. While it's better than some QD-OLEDs, the lack of a polarizer means that blacks still look purple in bright rooms. You need to use it in a dark room to get perfect black levels.
This monitor has minimal reflected light and reduces glare well. Even glare from strong light sources isn't distracting. The matte coating is more aggressive than other matte displays, like the Samsung Odyssey OLED G80SD S32DG80, but that means images are a bit hazier.
The gradient handling is remarkable, and there's minimal banding between shades of similar colors.
Your graphics card needs to use Display Stream Compression (DSC) to reach the max refresh over HDMI and DisplayPort.
NVIDIA - G-SYNC Compatibility
Connection
VRR Min
VRR Max
DisplayPort
<20Hz
240Hz
HDMI
<20Hz
240Hz
AMD - FreeSync
Connection
VRR Min
VRR Max
DisplayPort
<20Hz
240Hz
HDMI
<20Hz
240Hz
The Samsung G81SF supports FreeSync VRR and HDMI Forum VRR, and it has G-SYNC compatibility.
The Samsung Odyssey G81SF has fantastic motion handling across its VRR range. CAD remains low throughout, and the only blur you see is persistence.
The refresh rate compliance is incredible. Its response time is fast enough to make full-color transitions before the monitor draws the next frame.
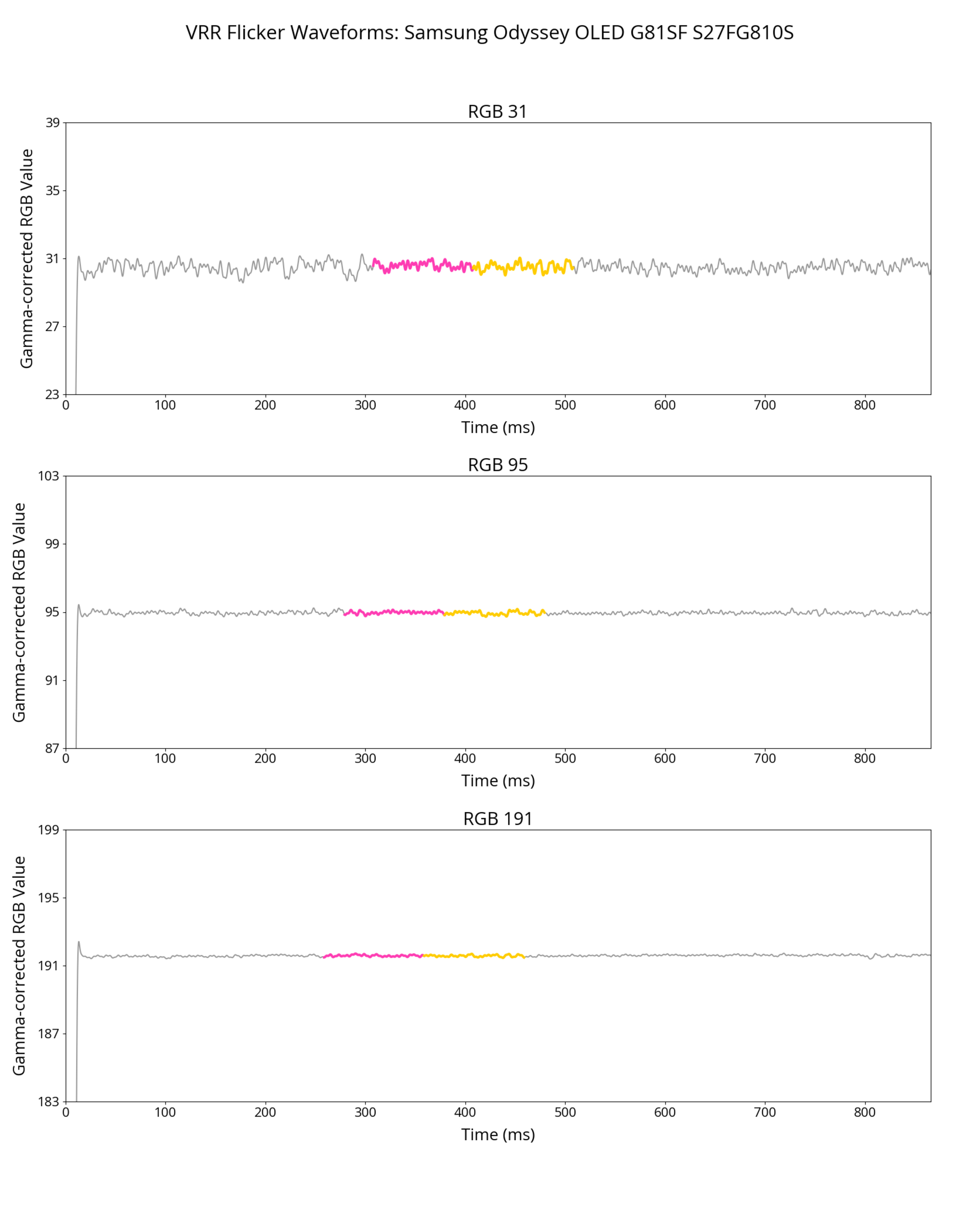
At framerates of 120 FPS and lower, the monitor doesn't display darker content at a consistent brightness, as you can see in the graph above. This creates a pulsing effect in darker parts of scenes that's very similar to VRR flicker. The effect is worse at lower frame rates.
This monitor doesn't have a black frame insertion feature to reduce persistence blur.
This monitor has noticeable VRR flicker with changing frame rates if VRR Control is 'Off', particularly in darker parts of scenes. However, if VRR Control is 'On', then there's almost no VRR flicker, as you can see in the VRR flicker graph and VRR flicker video. However, enabling it adds a full frame of input lag and causes some stutter.
The backlight isn't technically flicker-free because it has a slight dip in brightness that corresponds to the monitor's refresh rate.
The Samsung Odyssey OLED G81SF has very low input lag for a responsive feel. However, input lag is much higher if VRR Control is 'On', as you can see below:
| Refresh Rate | Input Lag |
|---|---|
| 240Hz | 9.0 ms |
| 120Hz | 12.5 ms |
| 60Hz | 21.8 ms |
The Xbox Series X|S only supports HDR with 4k signals, so this isn't a limitation of the monitor.
We encountered an unusual issue when first using the monitor with either HDMI port. The monitor would detect that the HDMI cable was connected, but no image appeared on-screen. We tried using four different cables, including the one that came with the monitor, but they didn't work. We also tried power cycling the monitor, factory resetting it, changing the PC/AV Mode setting, and the Input Port Ver. settings, and none of these settings resolved the issue. This issue occurred with multiple different PCs, including desktops, a laptop, and a MacBook.
However, on an older MacBook with HDMI 2.0 it did display an image on screen. After this we toggled the Input Port Ver. setting a few times, and the monitor has since worked over HDMI with all devices.
Tested With: Sequoia 15.5
| Connection | HDMI 2.1 | USB-C to DP |
|---|---|---|
| Max Refresh Rate | 240Hz | 240Hz |
| VRR Range | 48-240Hz | 48-240Hz |
| HDR | Yes | Yes |
The monitor works well with macOS. VRR works well, and HDR looks good in most cases. Over USB-C to DisplayPort, the 'Game Standard' Picture Mode looks most accurate, though its color temperature is a bit cool if you don't change any settings. Over HDMI, HDR doesn't look quite as accurate as over DisplayPort. The 'Eco' and 'Game Standard' modes look best, though 'Eco' is too warm, and 'Game Standard' is too cool.
If you connect the monitor to a MacBook with an HDMI or USB-C cable and the MacBook is plugged into power, windows migrate to the monitor when you close the lid. Additionally, they return to their previous position if the MacBook is reopened.
However, if the MacBook isn't plugged into power and you close the lid, the MacBook and monitor go to sleep. When you reopen the MacBook windows resume in their previous position.
This monitor has several extra features, including:
- Eye Saver Mode: Decreases blue light output to help reduce eye strain.
- PIP: Allows you to display images from two inputs at once and adjust the size and position of the second input.
- SeeColors Mode: Adjusts the image for those with color blindness.
-
Panel Care: Features to reduce the risk of burn-in associated with OLEDs, including:
- Pixel Refresh: Adjusts pixels to provide a clearer screen.
- Adjust Logo Brightness: Automatically dims the brightness of fixed images when it detects one on the screen.


