The Dell Alienware AW3425DWM is an entry-level ultrawide gaming monitor. Part of the Alienware gaming lineup, it's newer than the popular Dell S3422DWG and sits alongside other budget-friendly models, like the Dell Alienware AW2725DM and the Dell Alienware AW3225DM. It has a 34-inch screen with a VA panel, 3440 x 1440 resolution, and a 1500R curve. It also has typical gaming features, like a 180Hz refresh rate, FreeSync Premium, and HDMI 2.1 ports. It comes with Dell's updated design, which their 2025 models have, with a blue metallic finish and a stand that includes tilt and height adjustments.
Our Verdict
The Dell AW3425DWM is good for PC gaming. Its 180Hz refresh rate is high enough for most PC gamers, and it supports all common VRR formats to reduce screen tearing. It also has low input lag for a responsive feel and a consistently fast response time at any refresh rate, but there's smearing with fast-moving objects. It even has good picture quality with a high native contrast ratio for deep blacks, but with a terrible local dimming feature, it fails to deliver an impactful HDR gaming experience. Unfortunately, it has distracting VRR flicker with changing frame rates, particularly in dark scenes.
Consistent response time at any refresh rate.
180Hz refresh rate and VRR support.
Low input lag for responsive feel.
High native contrast ratio.
Noticeable smearing with fast objects.
Terrible local dimming feature that's locked in HDR.
Distracting VRR flicker.
The Dell AW3425DWM is decent for console gaming. It supports most signals with a PS5, PS5 Pro, and Xbox Series X|S, including VRR on both, but you'll see black bars on the sides as consoles don't support ultrawide signals. Gaming feels responsive thanks to its low input lag, but fast-moving objects have noticeable black smearing. It has good picture quality with deep blacks, thanks to its high contrast ratio, but it fails to make highlights pop in HDR for an impactful viewing experience.
Consistent response time at any refresh rate.
Low input lag for responsive feel.
High native contrast ratio.
Supports most signals with consoles.
Noticeable smearing with fast objects.
Only supports 4k signals at 60Hz.
Doesn't have an audio jack.
The Dell AW3425DWM is good for work. Its 34-inch screen is big enough to open windows side-by-side and has sharp text clarity. It also gets bright enough to fight some glare in a well-lit room, but it has distracting reflections from bright objects. Unfortunately, it's a bad choice if you need to share your screen with someone next to you, as it has narrow viewing angles and limited ergonomics. It doesn't have many office-oriented features besides two USB-A ports.
Bright enough to fight glare.
Sharp text clarity.
Ultrawide 34-inch display.
Distracting reflections.
Narrow viewing angles.
Limited ergonomics.
The Dell AW3425DWM is good for editing. It comes with an accurate sRGB mode that locks colors well to its sRGB color space, but it has white balance issues that need calibrating to fix them. It also has great SDR picture quality thanks to its high contrast ratio that helps it display deep blacks, but with a terrible local dimming feature that only turns on in HDR, it has limited picture quality when editing HDR content. On the plus side, its 34-inch screen is big enough to view most of your content at once and has good image clarity. Unfortunately, it has narrow viewing angles, so the image looks washed out when viewed from the sides.
High native contrast ratio.
Bright enough to fight glare.
Accurate sRGB mode.
Ultrawide 34-inch display.
Terrible local dimming feature that's locked in HDR.
Distracting reflections.
Narrow viewing angles.
Has white balance issues—needs full calibration.
The Dell AW3425DWM has good brightness. It gets bright enough to fight some glare in well-lit rooms, but fails to make highlights pop in HDR.
Bright enough to fight glare.
Fails to make highlights pop in HDR.
The Dell AW3425DWM has a good response time. It remains consistent with any refresh rate, but there's smearing and blur with fast-moving objects.
Consistent response time at any refresh rate.
Noticeable smearing with fast objects.
The Dell AW3425DWM has mediocre HDR picture quality. Despite having a high native contrast ratio, its local dimming feature performs terribly and doesn't improve the contrast ratio. It also fails to make bright colors look vivid.
High native contrast ratio.
Terrible local dimming feature that's locked in HDR.
The Dell AW3425DWM has good SDR picture quality. Its high native contrast ratio helps it display deep blacks, and the monitor also displays a wide range of colors.
High native contrast ratio.
The Dell AW3425DWM has impressive color accuracy. The dedicated sRGB mode locks colors well to the sRGB color space. However, it has white balance issues; you need to perform a full calibration to fix this.
Accurate sRGB mode.
Has white balance issues—needs full calibration.
Performance Usages
Changelog
- Updated Nov 10, 2025: We've converted this review to Test Bench 2.1.1. We removed the Vertical Viewing Angle test.
-
Updated Jul 09, 2025:
We confirmed that it has a Local Dimming feature, which automatically turns on in HDR, and you can't turn it off.
- Updated Jul 04, 2025: Review published.
- Updated Jul 02, 2025: Early access published.
Check Price
Differences Between Sizes And Variants
We bought and tested the 34-inch Dell AW3425DWM, which is the only size available. There are similarly-named models in the Alienware lineup, like the 27-inch Dell Alienware AW2725DM, the 32-inch Dell Alienware AW3225DM, and the ultrawide QD-OLED Dell Alienware AW3425DW, but these are different monitors, and the results in the review are only valid for the AW3425DWM.
| Model | Size | Panel Type | Max Refresh Rate | Native Resolution |
|---|---|---|---|---|
| AW3425DWM | 34" | VA | 180Hz | 3440x1440 |
Our unit's label indicates it was manufactured in February 2025. We tested it with firmware M3C101.
Popular Monitor Comparisons
The Dell Alienware AW3425DWM is an entry-level ultrawide gaming monitor. It's a newer model than the popular Dell S3422DWG, although it doesn't directly replace it because they're part of different lineups. That said, it's still a good upgrade compared to the older model, and it has features you'd expect in a gaming monitor, like a 180Hz refresh rate, HDMI 2.1 bandwidth, VRR support, and low input lag. Although it still has black smearing with fast-moving objects, which is typical of VA panels like this one, it at least has a consistent response time across its VRR range. You'd have to consider an IPS option if you want less smearing, like the more expensive LG 34GP83A-B. While the market for entry-level ultrawide monitors is limited, it's a good value option that doesn't break the bank, so it's something to consider if you want an ultrawide without spending more on a premium OLED display.
Also see our recommendations for the best ultrawide gaming monitors, the best 34-49 inch monitors, and the best curved gaming monitors.
The Dell Alienware AW3423DWF is a higher-end ultrawide monitor than the Dell Alienware AW3425DWM. Although they both have 34-inch screens with a 3440x1440 resolution, there are some big differences between them. The AW3423DWF has a QD-OLED panel with much better picture quality, particularly in HDR, and superior motion handling. The main advantage of getting the AW3425DWM is that it gets brighter in SDR and doesn't risk burn-in with exposure to the same static elements over time, like the AW3423DWF has.
The Dell Alienware AW3425DWM is a newer model than the Dell S3422DWG, and improves in a few areas. The AW3425DWM has better motion handling as it has less smearing with fast-moving objects, although it's still there. The AW3425DWM also has a higher contrast ratio for deeper blacks, and it gets brighter, too, making it the better choice for gaming in well-lit rooms. The newer AW3425DWM also has better accuracy before calibration as it comes with a dedicated sRGB mode.
The LG 34GP83A-B and the Dell Alienware AW3425DWM are both ultrawide gaming monitors, with a few differences, mainly due to their panel types. The LG has an IPS panel with wider viewing angles and less smearing with fast-moving objects, so it's a better choice for playing action games with someone next to you. However, the Dell monitor has an advantage with picture quality, as its VA panel has a higher contrast ratio for deeper blacks. The Dell is also the better choice for gaming in well-lit rooms, as it gets brighter, too.
We buy and test more than 30 monitors each year, with units that we buy completely on our own, without any cherry-picked units or samples. We put a lot into each unbiased, straight-to-the-point review, and there's a whole process from purchasing to publishing, involving multiple teams and people. We do more than just use the monitor for a week; we use specialized and custom tools to measure various aspects with objective data-based results. We also consider multiple factors before making any recommendations, including the monitor's cost, its performance against the competition, and whether or not it's easy to find.
Test Results
The Dell AW3425DWM shares the same design as other models in the 2025 Alienware lineup, with a blue metallic finish and a minimalistic look.
The build quality is excellent. It's well-made, and the materials feel high-quality, but the back panel still flexes and creaks a bit when you press on it. The coating feels premium, too, but the back casing is very susceptible to fingerprint smudges, so you may need to clean it off if that bothers you.
The ergonomics are okay. The adjustments feel smooth on the stand, and while you can't rotate it into portrait mode, you can adjust it 5 degrees in either direction to help if you have it on an uneven desk. The stand also has a cutout for cable management.
The base has a small footprint, and the stand holds the screen well, with minimal wobble on an unstable desk. Even when it does wobble, it stabilizes quickly.
There's a joystick to control the on-screen display, which feels good and easy to use. There's also a power button (not pictured) underneath the right side of the monitor.
- DisplayPort cable
- HDMI cable
- USB-A to USB-B cable
- Power cable
- User guides
- Alienware sticker
The Dell AW3425DWM has an impressive native contrast ratio. It displays deep blacks against bright highlights in dark scenes, but its local dimming feature—which only turns on in HDR—fails to improve it.
This monitor has a local dimming feature that automatically turns on in HDR, and there's no way to turn it off. Unfortunately, though, it performs terribly and only has eight large edge-lit zones. All the zones remain on with most content, including when there are bars on the sides, so it fails to improve the picture quality in dark scenes. Even when some zones turn off, there's a ton of blooming around bright objects, and it fails to keep details well. Besides that, fast-moving objects don't move between zones well, and it's clear when a dimming zone turns on and off.
The overall performance of this local dimming is disappointing, considering you can't turn it off in HDR, but at least it doesn't turn on in SDR.
Settings
- Preset Mode: Custom Color (after calibration)
- Brightness: 100 (max)
The SDR brightness is great. It easily gets bright enough to fight glare and maintains its brightness consistently across different content.
Settings
- Smart HDR: Custom Color HDR
- Brightness: Locked to max
The HDR brightness is decent. While it gets bright and is a good choice if you want to use it in a bright room, it doesn't make small highlights pop against the rest of the image, despite its local dimming feature that automatically turns on in HDR. On the plus side, it follows the PQ EOTF very well, and because it has a sharp cut-off at its max brightness, it lets highlights get the brightest possible.
The gray uniformity is great. Although the edges are a bit darker than the rest, it isn't distracting, and it has minimal dirty screen effect in the center. You can also see the uniformity with 5% gray.
The black uniformity is okay. There's backlight bleed in the corners, and it's actually worse with local dimming, which automatically turns on in HDR.
The Dell AW3425DWM has great accuracy before calibration. The 'sRGB' Preset Mode locks colors well to the sRGB color space, and the color temperature is close to the 6500K target. However, it has white balance issues, particularly with brighter whites, and gamma tracking is off, as most scenes are too dark.
Using the 'sRGB' Preset Mode locks the Gain, Hue, Offset, and Saturation settings. The 'Custom Color' mode gives you access to those settings, but it's less accurate with more oversaturated colors.
The accuracy after calibration in the 'Custom Color' Preset Mode is remarkable. Calibrating it fixes most issues, but gamma still isn't perfect.
The SDR color gamut is incredible. It displays all the colors needed for the sRGB color space. It also displays a wide range of colors in the Adobe RGB color space, but it oversaturates reds and blues and undersaturates greens. However, you may be able to fix this by using a color-managed app.
The HDR color gamut is very good. It displays a wide range of colors in the DCI-P3 and Rec. 2020 color spaces, and has minimal inaccuracies with either.
The HDR color volume is good. It displays dark colors well, but fails to make bright colors look vivid.
The horizontal viewing angle is disappointing. The image quickly washes out and loses accuracy from the sides, and the curved screen also makes it harder to share the screen with someone next to you. However, the curve brings the edges closer to your field of vision when you're sitting directly in front of it, so the image doesn't wash out as much from the sides.
The Dell AW3425DWM has good text clarity. Using Windows ClearType (top photo) helps make text look bolder and easier to read. These photos are in Windows 10; you can also see them in Windows 11 with ClearType on and with ClearType off.
The direct reflection handling is mediocre. Its matte coating spreads light out, as there are reflections even at the edges, and it still has some mirror-like reflections that can be distracting.
The Dell AW3425DWM maintains its low black levels very well in a bright room. Although the black levels aren't as low as in a dark room, blacks are still deep.
This monitor has a ton of reflected light coming off the screen. It also spreads light out and warps bright objects due to its curved display, so glare from bright light sources is distracting.
The gradient handling is superb. There's almost no banding between shades of similar colors, like in scenes with sunsets.
Your graphics card needs to use Display Stream Compression (DSC) to reach the max refresh rate with 10-bit signals over DisplayPort. It does have a DSC setting to deactivate it over DisplayPort if you prefer, but that limits the refresh rate to 144Hz with 10-bit signals. However, you can still get the max refresh rate with 8-bit signals even with DSC off.
NVIDIA - G-SYNC Compatibility
Connection
VRR Min
VRR Max
DisplayPort
<20Hz
180Hz
HDMI
<20Hz
180Hz
AMD - FreeSync
Connection
VRR Min
VRR Max
DisplayPort
<20Hz
180Hz
HDMI
<20Hz
180Hz
This monitor also supports HDMI Forum VRR.
The Dell AW3425DWM has good motion handling across its VRR range. The 'Super Fast' Response Time setting is consistent as the refresh rate drops, but it has a slow response time with most transitions, particularly when going from dark to brighter colors, leading to black smearing behind fast-moving objects.
The refresh rate compliance is good. Its response time isn't fast enough to make full color transitions before the monitor draws the next frame at high frame rates. However, it makes more of the transition with low frame rates.
The CAD at the max refresh rate of 180Hz is great. Like other Dell monitors, the motion handling is different depending on whether you have VRR enabled or not. Using the 'Super Fast' Response Time setting with VRR off results in the best motion handling, as there's minimal blur behind fast-moving objects, and 'Fast' performs similarly, too. Motion handling is worse with VRR enabled, but all three Response Time overdrive settings perform similarly.
The CAD at 120Hz is decent. There's smearing with fast-moving objects, but it doesn't have noticeable black smearing. Unlike at its max refresh rate, the Response Time settings perform similarly whether you have VRR on or off, but the 'Super Fast' setting with VRR off still performs the best.
The CAD at 60Hz is good. There's a bit of smearing and inverse ghosting, but it isn't too distracting either. Although the Response Time settings perform similarly whether you have VRR on or off, motion looks best with the 'Super Fast' setting with VRR on.
This monitor doesn't have a backlight strobing feature to reduce persistence blur.
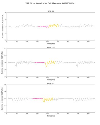
This monitor has distracting VRR flicker with changing frame rates. It looks worse than what the score represents, as you can see in the video. In dark scenes, the flicker is so bad and distracting that it looks like the screen is changing between warm and cold color temperatures. That said, it's less distracting during random variations of frame rate than when there are periodic changes.
The flicker is still distracting in dark parts of bright scenes and looks worse in person than in the video. The best way to avoid this issue is to set a frame rate cap or turn off VRR altogether.
This monitor doesn't use pulse-width modulation to dim its backlight and is flicker-free.
The Dell AW3425DWM has very low input lag for a responsive feel with any refresh rate.
This monitor works well with a PS5 or PS5 Pro. It downscales 4k signals, which are more detailed than native 1440p, but only at 60Hz. However, because consoles don't support ultrawide signals, you need to change the Aspect Ratio in the monitor's OSD to 'Auto Resize' to avoid a stretched image, and you'll get black bars on the sides instead. These results are with Console Mode off, but it supports the same signals with it on.
Besides not supporting downscaled 4k signals at 120Hz, this monitor has no issues with an Xbox Series X|S. As the console doesn't support HDR with 1080p or 1440p signals, this isn't an issue with the monitor. These results are with Console Mode off, but it supports the same signals with it on.
As consoles don't support ultrawide signals, you need to change the Aspect Ratio in the monitor's OSD to 'Auto Resize' to avoid a stretched image, which will result in black bars on the sides instead.
Tested with: M2 MacBook Pro (Sequoia 15.5)
| Connection | HDMI 2.1 | DP to USB-C |
|---|---|---|
| Max Refresh Rate | 180Hz | 180Hz |
| VRR Range | 48-180Hz | 48-180Hz |
| HDR | Yes | Yes |
The Dell AW3425DWM works well with macOS. There aren't any issues, and VRR works well. Using a USB-C to DisplayPort cable with a MacBook, HDR looks undersaturated compared to SDR, and the 'Standard' Preset Mode in SDR looks the most accurate compared to the MacBook display. However, HDR looks better over HDMI, and the most accurate Smart HDR modes are 'DisplayHDR 400' and 'Game HDR.'
Whether you're using either input with a MacBook, you can close the laptop's lid and continue using the monitor if you have the MacBook connected to power. Without power, the MacBook goes to sleep. Reopening the lid or waking the laptop up from sleep makes windows move to their original positions.
This monitor has a few extra features, including:
- AlienVision: Allows for customizable crosshairs.
- Aspect Ratio: Lets you change the aspect ratio, including to 4:3.
- Console Mode: Changes the picture settings and locks out some options. It's only available over HDMI.
- Dark Stabilizer: Adjusts the black levels so that it's easier to see opponents in dark scenes.
- Game Enhance Mode: Includes the Timer, Frame Rate, and Display Alignment features.


